• Предмет: Математика
  • Автор: дильназ57
  • Вопрос задан 9 лет назад

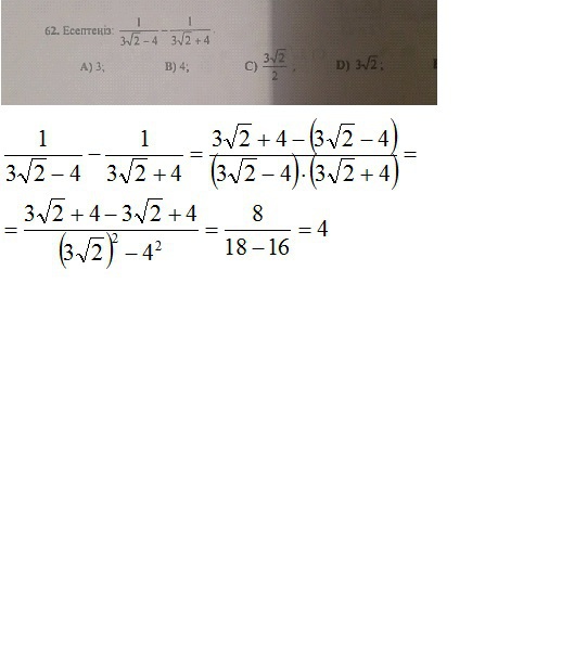
помогите решить номер 62

Приложения:

Ответы

Ответ дал: kirichekov
0
решение во вложении-----------------------
Приложения:
Вас заинтересует