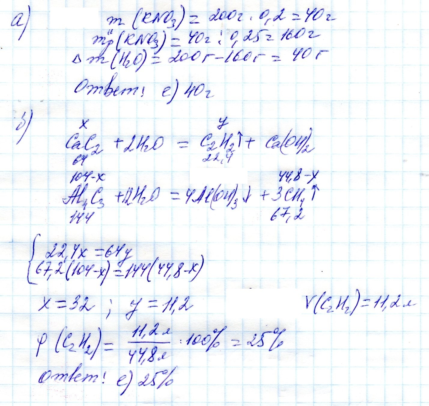
масса испарившейся воды, если после кипячения 200 г раствора нитрата калия массовая доля соли увеличилась с 20% 25%
а)60 в)5 г с)100г д)120г е)40г
объемная доля ацетилена в 44,8 л смеси газов,выделившихся при обработке 104 г смеси карбидов кальция и алюминия избытком воды а)60% б)40% с)50% д)75 %е)25%
решите пожалуйста
Ответы
Ответ дал:
0
........................................................
Приложения:

Вас заинтересует
2 года назад
2 года назад
8 лет назад
10 лет назад
10 лет назад