• Предмет: Алгебра
  • Автор: Marsellos
  • Вопрос задан 9 лет назад

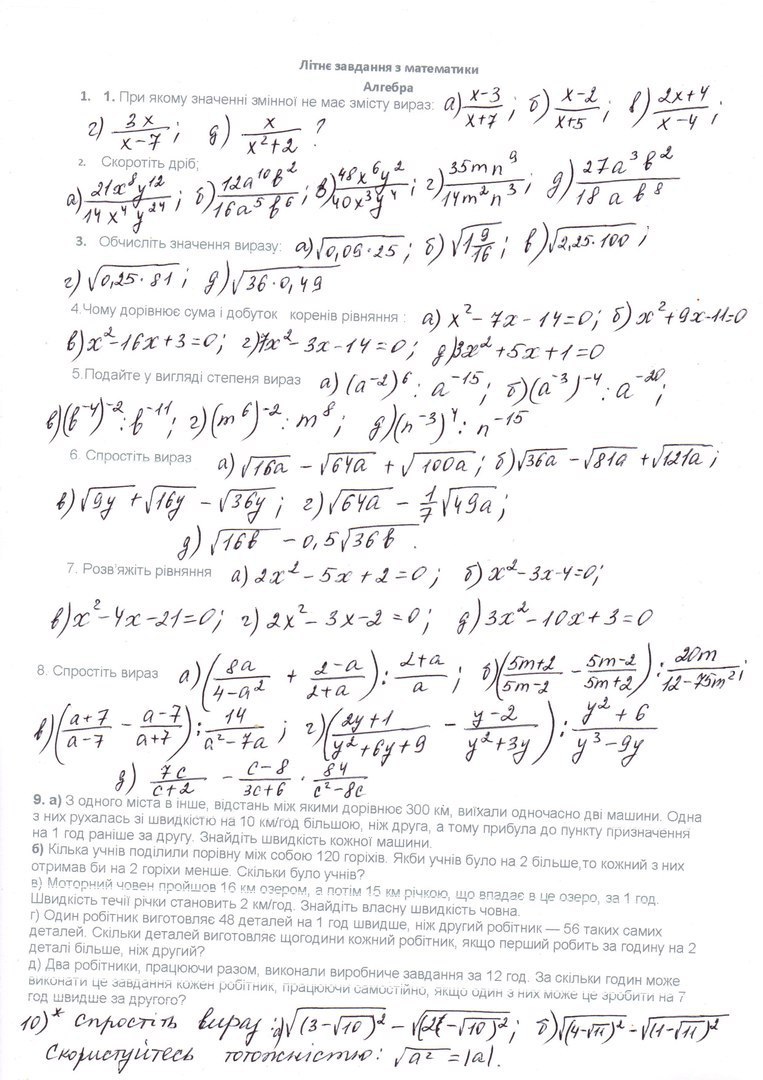
Вирішити завдання №9 і розписати

Приложения:

Ответы

Ответ дал: 547459999
0

 А )    х км/ч - скорость второй машины

(х+10) км/ч - скорость первой машины

т ч - время, за которое доехала первая машина

(т+1) ч - время, за которое доехала вторая машина

 

вычитая второе уравнение из первого полусчим

подставляя ко второй машине получим

5 ч - время, за которое доехала первая машина

x=10t=10*5=50 км/ч - скорость второй машины

50+10=60 км/ч - скорость первой машины

Б)    Путсь количество учеников равно х, а количество орехов, которые поровну поделили между собой ученики равно у.

Тогда х*у = 120

По условию если бы учеников было на 2 больше, т.е. х+2 то каждый из них получил бы на 2 ореха меньше, т.е. у-2. Всего орехов было 120.

Составляем уравнение:

(x+2)(y-2)=120

Решаем систему уравнений

{х*у = 120

{(x+2)(y-2)=120 

 

x=120/y

(120/y+2)(y-2)=120|*y

(120+2y)(y-2)=120y

120y+2y^2-240-4y=120y

2y^2-4y-240=0

y^2-2y-120=0

D=4-4*1*(-120)=4+480=484

y1=(2+22)/2=24/2=12 (орехов)

y2=(2-22)/2=-20/2=-10<0 не подходит

 

х=120/y=120/12=10 (учеников)

Ответ: Первоначально было 10 учеников

 В)   х+2 * 1 = 16+15

х+2 =31
х = 31-2 = 29 км/ч - собственная скорость
 Г)    
пусть скорость изготовления второго х деталей в час, тогда скорость изготовления первого (х + 2) детали в час

56 деталей второй работный изготовит за 56 х часов

48 деталей первый рабочий изготовит за 48 (х + 2) часа.

По условию задачи составляем уравнение

56х-48(х+2)=1

56(х+2)-48х=х(х+2)

56х+112-48х=x^2+2x

х ^ 2-6x-112 = 0

(Х-14) (х + 8) = 0

x = -8 (что невозможно так как скорость изготовления положительная величина) или x = 14

х+2=14+2=16

Ответ: 14 деталей виготвляе за час второй,

16 деталей в час виготволяе первый

 Д)   Составляем таблицу:

t,ч        Производительность          Работа

1рабочий     x(ч)                  1/x                             12/x

2рабочий    x+7(ч)               1/(x+7)                         12/(x+7)

Составим уравнение:

12/x + 12/x+7=1

12x+84+12x=x(в квадрате)+7x

24x+84= x(в квадрате)+7x

x(в квадрате)-17x-84=0

Д(дискриминант)=289+336=625>0; 2 корня

1).x= (17+25)/2=21

2).x=(17-25)/2= -4  ( не подходит под условие задачи)

Итак, t первого раб.=21 ч., тогда t второго раб.=21+7=28ч.

Вас заинтересует