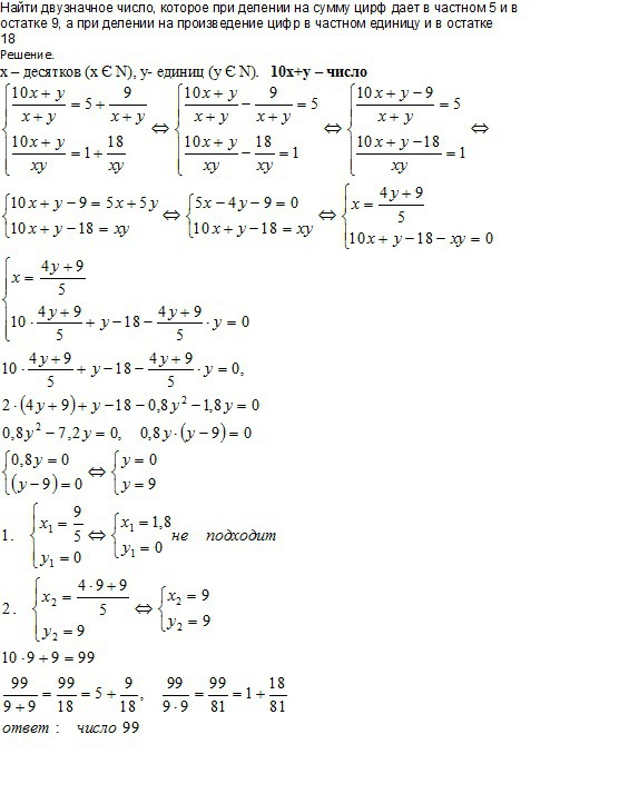
Найти двузначное число, которое при делении на сумму цирф дает в частном 5 и в остатке 9, а при делении на произведение цифр в частном единицу и в остатке 18
Ответы
Ответ дал:
0
решение во вложении---------------------------
Приложения:

Вас заинтересует
2 года назад
2 года назад
7 лет назад
7 лет назад
9 лет назад
10 лет назад