Ответы
Ответ дал:
0
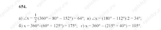
Решение Во вложениях 652-654
Приложения:



Вас заинтересует
2 года назад
8 лет назад
10 лет назад
10 лет назад
10 лет назад