• Предмет: Математика
  • Автор: goronczovayana
  • Вопрос задан 10 лет назад

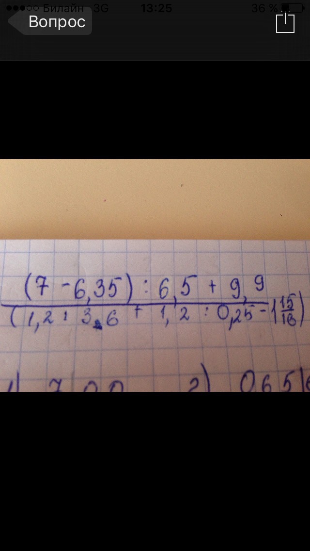
Решите пожалуйста люди прошу вас

Приложения:

Ответы

Ответ дал: ktylxy00
0
Вот ответ на картинке
Приложения:
Ответ дал: goronczovayana
0
не правильно ,но спасибо
Вас заинтересует