• Предмет: Алгебра
  • Автор: Wantedguy
  • Вопрос задан 9 лет назад

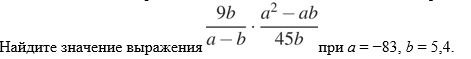
Прошу помочь в решении данного примера,заранее спасибо)))

Приложения:

Ответы

Ответ дал: asilun
0
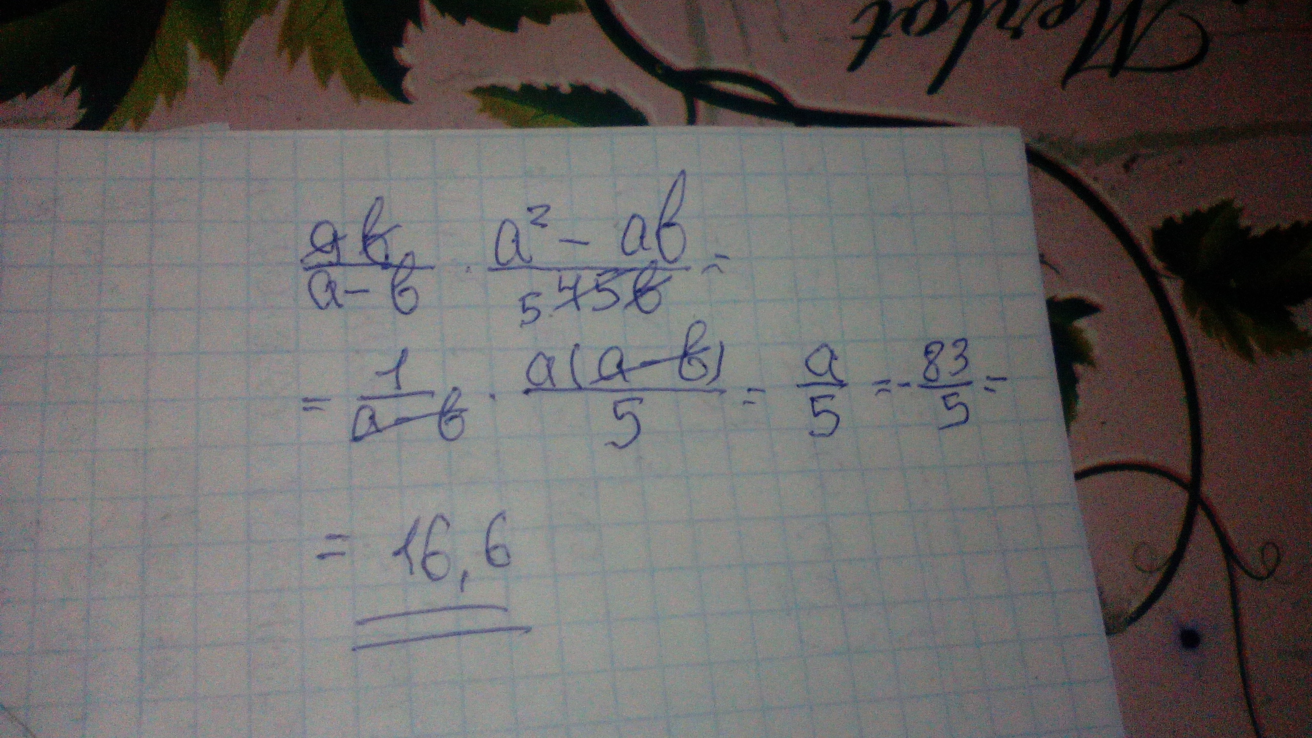
вщщалащвзвлаладщалввовш
Приложения:
Ответ дал: artemche99
0
ФОТО ВНИЗУ!!!!!!!!!!!!!!!!!!!!!!!!!!!!!!!!!!!!!!!!!!!!!!!!!!!!!!!!!!!!!!!!!!!!!!!!!!!!!!!!!!!!!!!!!!!!!!!!!!!!!!!!!!
Приложения:
Вас заинтересует