Ответы
Ответ дал:
0
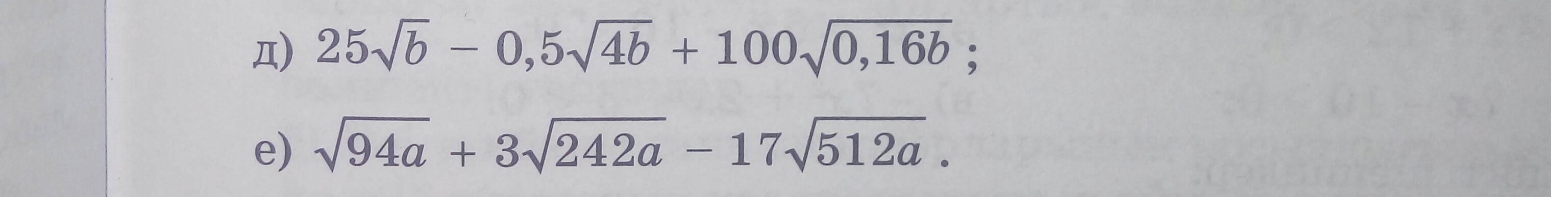
д)
= (25-0,5*2+100*0,4)*√b=(25-1+40)*√b = 64*√b = 8²*√b
е)
= √94 *√a + 3*√(242*a) -17*√(512a) =√2*√47*√a+3*11*√2*√a-17*16*√2*√a =
= (√47+3*11-17*16)*√2*√a = = (√47-239)*√(2a)
= (25-0,5*2+100*0,4)*√b=(25-1+40)*√b = 64*√b = 8²*√b
е)
= √94 *√a + 3*√(242*a) -17*√(512a) =√2*√47*√a+3*11*√2*√a-17*16*√2*√a =
= (√47+3*11-17*16)*√2*√a = = (√47-239)*√(2a)
Вас заинтересует
3 года назад
8 лет назад
8 лет назад
10 лет назад
10 лет назад