Ответы
                                            Ответ дал: 
                                                                                    
                                        
                                            
                                                
                                                
                                                
                                                    0
                                                
                                            
                                        
                                    
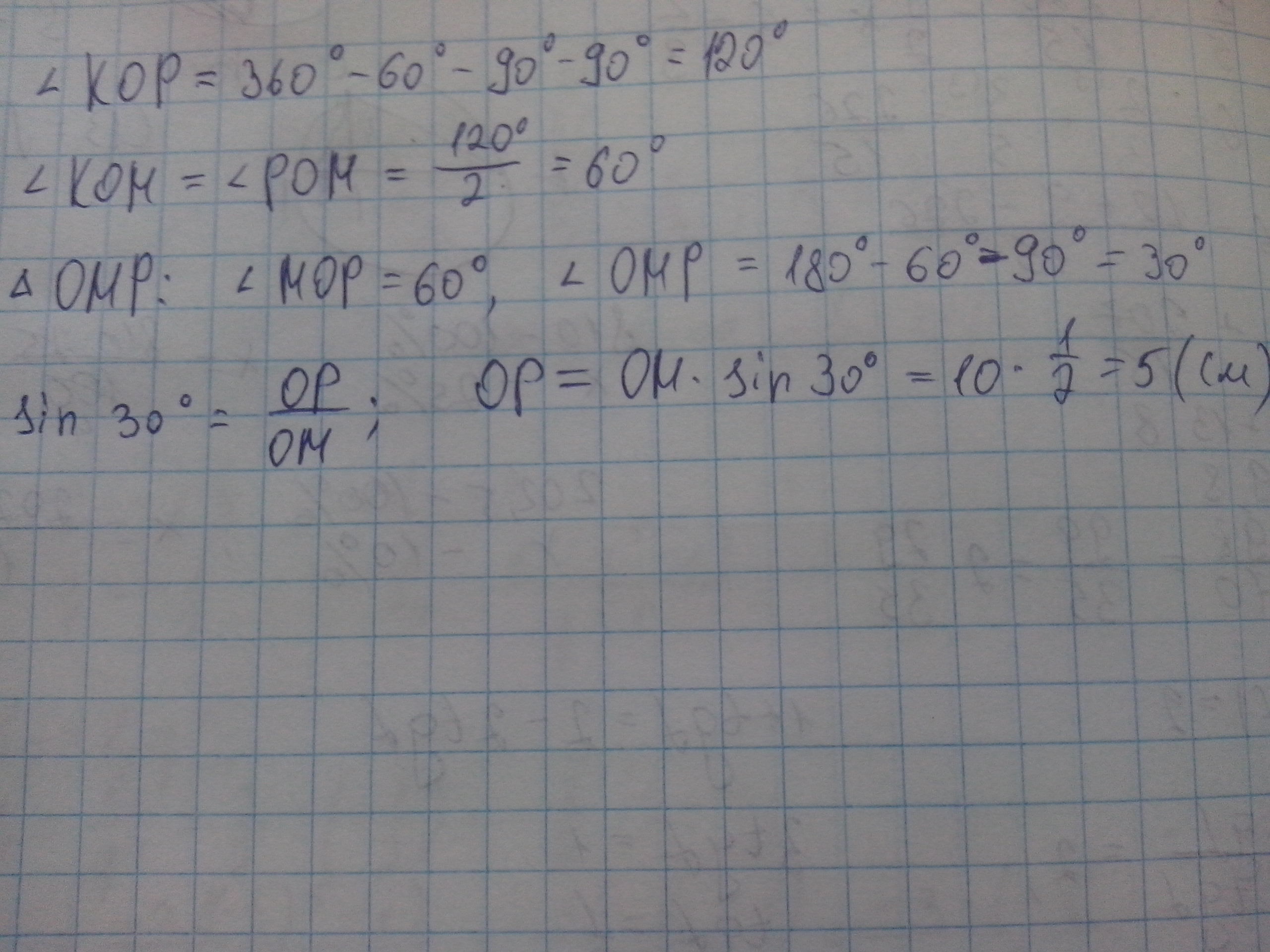
                                        ОМ будет биссектрисой ∠РМК  (есть теорема)  ⇒  ∠ОМК=30°
ОК⊥МК ⇒ ΔОМК - прямоугольный и
радиус (он же явл. катетом) ОК лежит против угла в 30°.
ОК= половине гипотенузы ОМ=10 см
R=ОК=5 см
                                        
                                        
                                ОК⊥МК ⇒ ΔОМК - прямоугольный и
радиус (он же явл. катетом) ОК лежит против угла в 30°.
ОК= половине гипотенузы ОМ=10 см
R=ОК=5 см
                                            Ответ дал: 
                                                                                    
                                        
                                            
                                                
                                                
                                                
                                                    0
                                                
                                            
                                        
                                    
                                        ..........................
                                    
                                                Приложения:
                     
                            Вас заинтересует
                
                        2 года назад
                    
                
                        2 года назад
                    
                
                        7 лет назад
                    
                
                        7 лет назад
                    
                
                        9 лет назад
                    
                
                        9 лет назад
                    
                
                        10 лет назад
                    
                