Помогите с геометрией, пожалуйста!
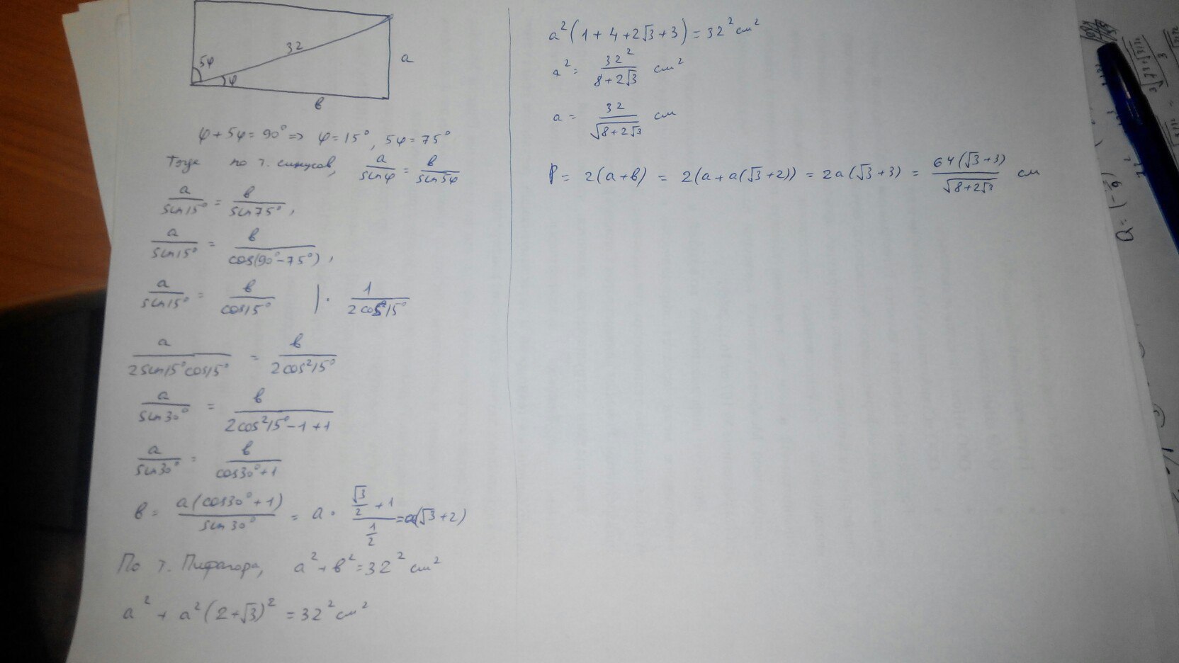
Диагональ прямоугольника, равная 32 см, делит угол на части, которые относятся, как 1:5. Найти периметр прямоугольника (воспользуйся соотношениями между сторонами и углами в прямоугольном треугольнике)
Ответы
Ответ дал:
0
Решение тут.............
Приложения:

Вас заинтересует
2 года назад
7 лет назад
7 лет назад
9 лет назад
9 лет назад
10 лет назад
10 лет назад