• Предмет: Математика
  • Автор: Ekaterin13
  • Вопрос задан 10 лет назад

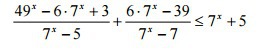
Профильная математика 11 класс по Александру Ларину, 15 задание, 06.06.16, решите неравенство:

Приложения:

Ответы

Ответ дал: iknowthatyoufeelbro
0
Решение......................
Приложения:
Вас заинтересует