Ответы
Ответ дал:
0
1
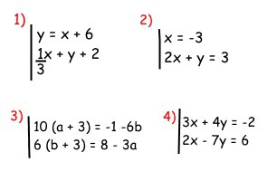
{y=x+6
{1/3*x+y=2
1/3*x+x+6=2
1 1/3*x=2-6
1 1/3*x=-4
x=-4:1 1/3=-4*3/4
x=-3
y=-3+6=3
Ответ (-3;3)
2
{x=-3
{2x+y=3
2*(-3)+y=3
y=3+6=9
Ответ (-3;9)
3
{10(a+3)=-1-6b⇒10a+30=-1-6b⇒10a+6b=-31
{6(b+3)=8-3a⇒6b+18=8-3a⇒3a+6b=-10
отнимем от 1 уравнения 2
7a=-21
a=-3
3*(-3)+6b=-10
6b=-10+9
6b=-1
b=-1/6
Ответ (-3;-1/6)
4
{3x+4y=-2/*7⇒21x+28y=-14
{2x-7y=6/*4⇒8x-28y=24
прибавим
29x=10
x=10/29
30/29+4y=-2
4y=-2-30/29=-88/29
y=-88/29:4
y=-22/29
Ответ (10/29;-22/29)
2x-7y=6
{y=x+6
{1/3*x+y=2
1/3*x+x+6=2
1 1/3*x=2-6
1 1/3*x=-4
x=-4:1 1/3=-4*3/4
x=-3
y=-3+6=3
Ответ (-3;3)
2
{x=-3
{2x+y=3
2*(-3)+y=3
y=3+6=9
Ответ (-3;9)
3
{10(a+3)=-1-6b⇒10a+30=-1-6b⇒10a+6b=-31
{6(b+3)=8-3a⇒6b+18=8-3a⇒3a+6b=-10
отнимем от 1 уравнения 2
7a=-21
a=-3
3*(-3)+6b=-10
6b=-10+9
6b=-1
b=-1/6
Ответ (-3;-1/6)
4
{3x+4y=-2/*7⇒21x+28y=-14
{2x-7y=6/*4⇒8x-28y=24
прибавим
29x=10
x=10/29
30/29+4y=-2
4y=-2-30/29=-88/29
y=-88/29:4
y=-22/29
Ответ (10/29;-22/29)
2x-7y=6
Ответ дал:
0
Большое спасибо! <3
Вас заинтересует
3 года назад
3 года назад
8 лет назад
10 лет назад
10 лет назад
10 лет назад