Ответы
Ответ дал:
0
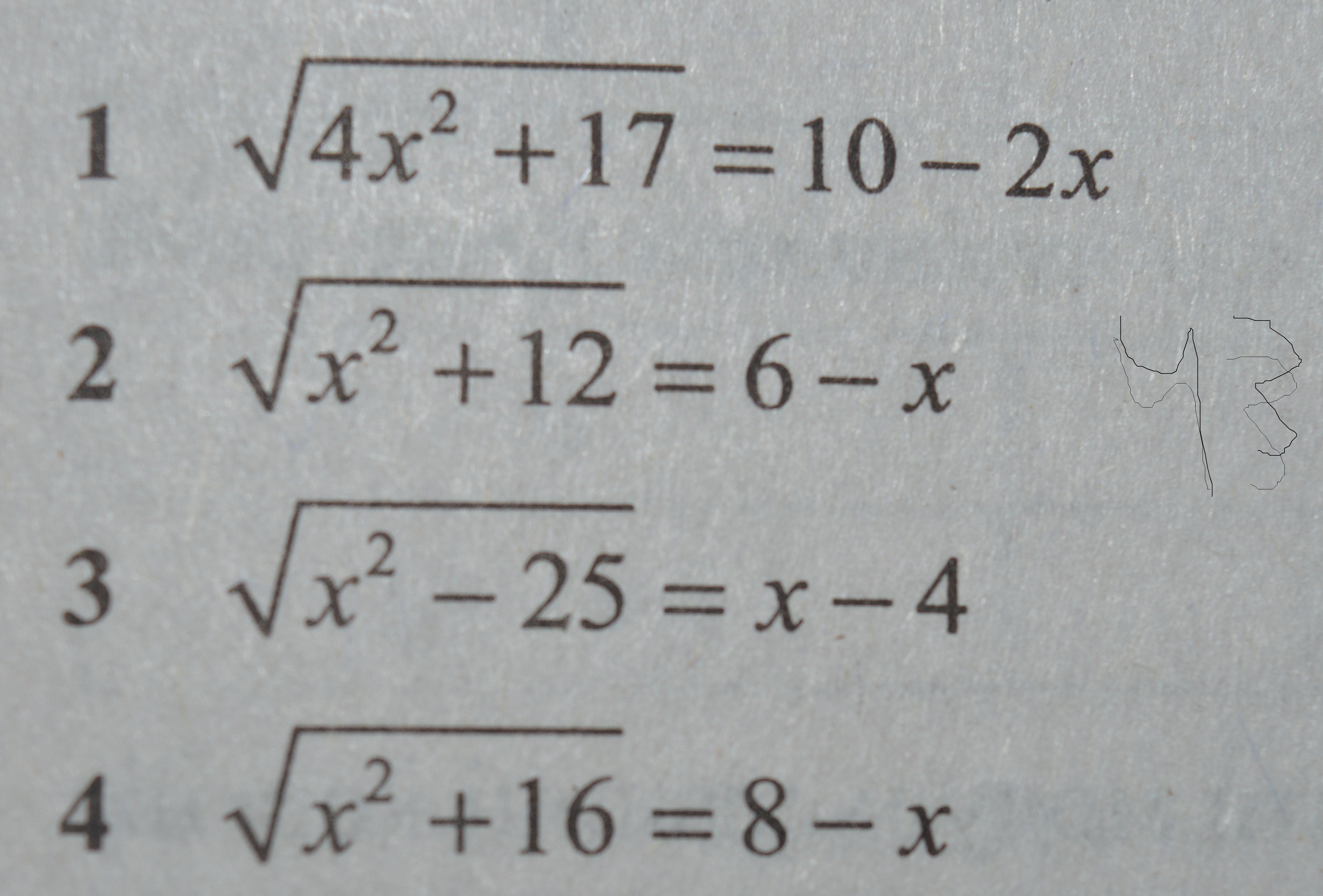
1
√(4x²+16)=10-2x
ОДЗ
{4x²+16≥0⇒x∈R
{10-2x≥0⇒2x≤10⇒x≤5
x∈(-∞;5]
возводим в квадрат
4x²+16-100+40x-4x²=0
40x=84
x=84:40
x=2,1
Ответ x=2,1
2)√(x²+12)=6-х
ОДЗ
{x²+12≥⇒x∈R
{6-x≥0⇒x≤6
x∈(-∞;6]
x²+12-36+12x-x²=0
12x=24
x=24:12
x=2
Ответ x=2
3)√(x²-25)=x-4
ОДЗ
[(x-5)(x+5)≥0⇒x≤-5 U x≥5
{x-4≥0⇒x≥4
x∈[5 ∞)
x²-25-x²+8x-16=0
8x=41
x=41:8
x=5 1/8
Ответ x=5 1/8
4)√(x²+16)=8-x
ОДЗ
{x²+16≥0⇒x∈R
{8-x≥0⇒x≤8
x∈(-∞;8]
x²+16-64+16x-x²=0
16x=48
x=48:16
x=3
√(4x²+16)=10-2x
ОДЗ
{4x²+16≥0⇒x∈R
{10-2x≥0⇒2x≤10⇒x≤5
x∈(-∞;5]
возводим в квадрат
4x²+16-100+40x-4x²=0
40x=84
x=84:40
x=2,1
Ответ x=2,1
2)√(x²+12)=6-х
ОДЗ
{x²+12≥⇒x∈R
{6-x≥0⇒x≤6
x∈(-∞;6]
x²+12-36+12x-x²=0
12x=24
x=24:12
x=2
Ответ x=2
3)√(x²-25)=x-4
ОДЗ
[(x-5)(x+5)≥0⇒x≤-5 U x≥5
{x-4≥0⇒x≥4
x∈[5 ∞)
x²-25-x²+8x-16=0
8x=41
x=41:8
x=5 1/8
Ответ x=5 1/8
4)√(x²+16)=8-x
ОДЗ
{x²+16≥0⇒x∈R
{8-x≥0⇒x≤8
x∈(-∞;8]
x²+16-64+16x-x²=0
16x=48
x=48:16
x=3
Вас заинтересует
3 года назад
8 лет назад
10 лет назад
10 лет назад
10 лет назад