• Предмет: Математика
  • Автор: SofiaVaria
  • Вопрос задан 10 лет назад

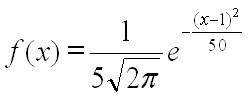
Нормально распределенная случайная величина Х задана функций плотности: Найти D(X)

Приложения:

Ответы

Ответ дал: Vasily1975
0
Функция f(x) задаёт нормальный закон распределения с параметрами 
M[X]=1, σ{X]=√50. А так как D[X]=σ², то D[X]=50. Ответ: 50.
Ответ дал: Vasily1975
0
Я ошибся. D[X]=50/2=25.
Ответ дал: SofiaVaria
0
Да я тож считала получилось 25:) но все равно спасибо
Вас заинтересует