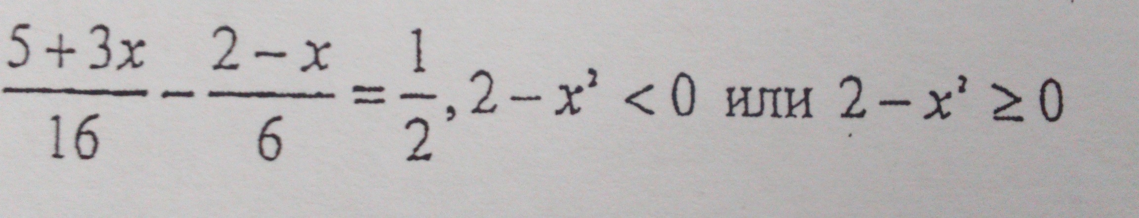
решите уравнение и выясните какому из двух неравенств удовлетворяет корень уравнения
Приложения:

Ответы
Ответ дал:
0
Найдём решения неравенств:
2-x²<0 2-x²≥0
(√2-x)(√2+x)<0 (√2-x)(√2+x)≥0
- + -
___________(-√2)_________(√2)____________
x∈(-∞;-√2)U(√2;+∞) - решение первого неравенства
x∈(-√2;√2) - решение второго неравенства
x≈1,47 ∈(√2;+∞) => корень уравнения принадлежит множеству решений первого неравенства
Вас заинтересует
2 года назад
2 года назад
7 лет назад
7 лет назад
9 лет назад
9 лет назад
10 лет назад