Ответы
Ответ дал:
0
1.
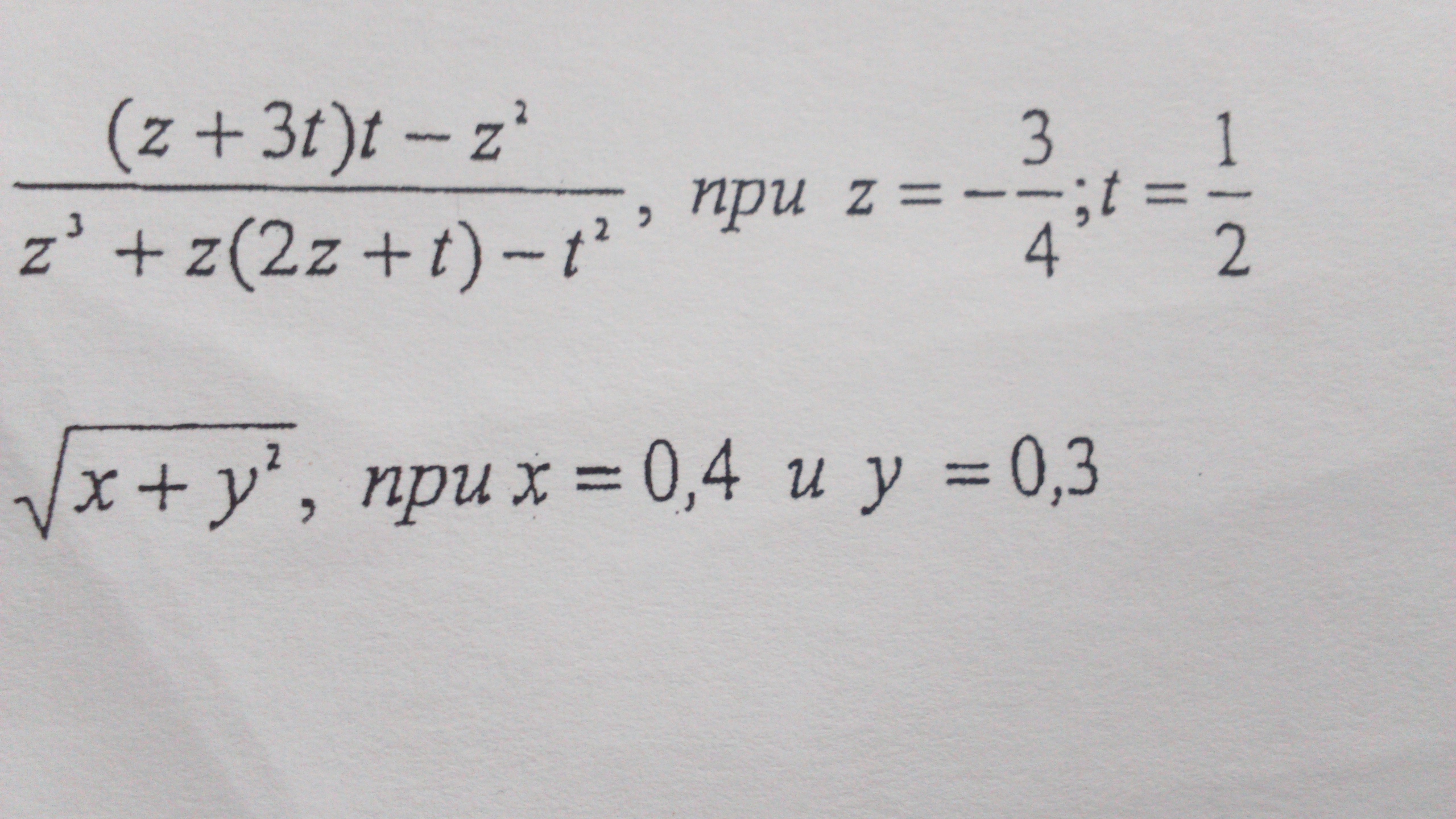
При z = -3/4; t=1/2 получаем
1) (z+3t)·t - z² = ((-3/4)+3·(1/2))·(1/2) - (-3/4)²=((-3/4)+3/2)·(1/2) - (9/16) =
=(3/4)·(1/2) - (9/16) = (3/8) - (9/16) = (6/16) - (9/16) = - 3/16.
2) z³ + z·(2z+t) - t² = (-3/4)³ - (3/4)·(-3/2+1/2) - 1/4 =
= (-27/64) - (3/4)·(-1) - 1/4 = (-27/64) + (3/4) - (1/4) = (-27/64) + (1/2)=
= (-27/64) + (32/64) = 5/64.
3) (-3/16) : (5/64) = (-3)·64/(16)·5 = - 12/5 = -2,4.
2.
При х=0,4; у=0,3
получаем
√(х+у²) = √(0,4+ 0,3²) = √(0,4+0,09) = √0,49 = 0,7.
При z = -3/4; t=1/2 получаем
1) (z+3t)·t - z² = ((-3/4)+3·(1/2))·(1/2) - (-3/4)²=((-3/4)+3/2)·(1/2) - (9/16) =
=(3/4)·(1/2) - (9/16) = (3/8) - (9/16) = (6/16) - (9/16) = - 3/16.
2) z³ + z·(2z+t) - t² = (-3/4)³ - (3/4)·(-3/2+1/2) - 1/4 =
= (-27/64) - (3/4)·(-1) - 1/4 = (-27/64) + (3/4) - (1/4) = (-27/64) + (1/2)=
= (-27/64) + (32/64) = 5/64.
3) (-3/16) : (5/64) = (-3)·64/(16)·5 = - 12/5 = -2,4.
2.
При х=0,4; у=0,3
получаем
√(х+у²) = √(0,4+ 0,3²) = √(0,4+0,09) = √0,49 = 0,7.
Вас заинтересует
3 года назад
3 года назад
8 лет назад
8 лет назад
10 лет назад
10 лет назад