• Предмет: Математика
  • Автор: iyamoon
  • Вопрос задан 9 лет назад

12пажалуйста помогите

Приложения:

Ответы

Ответ дал: irinan2014
0
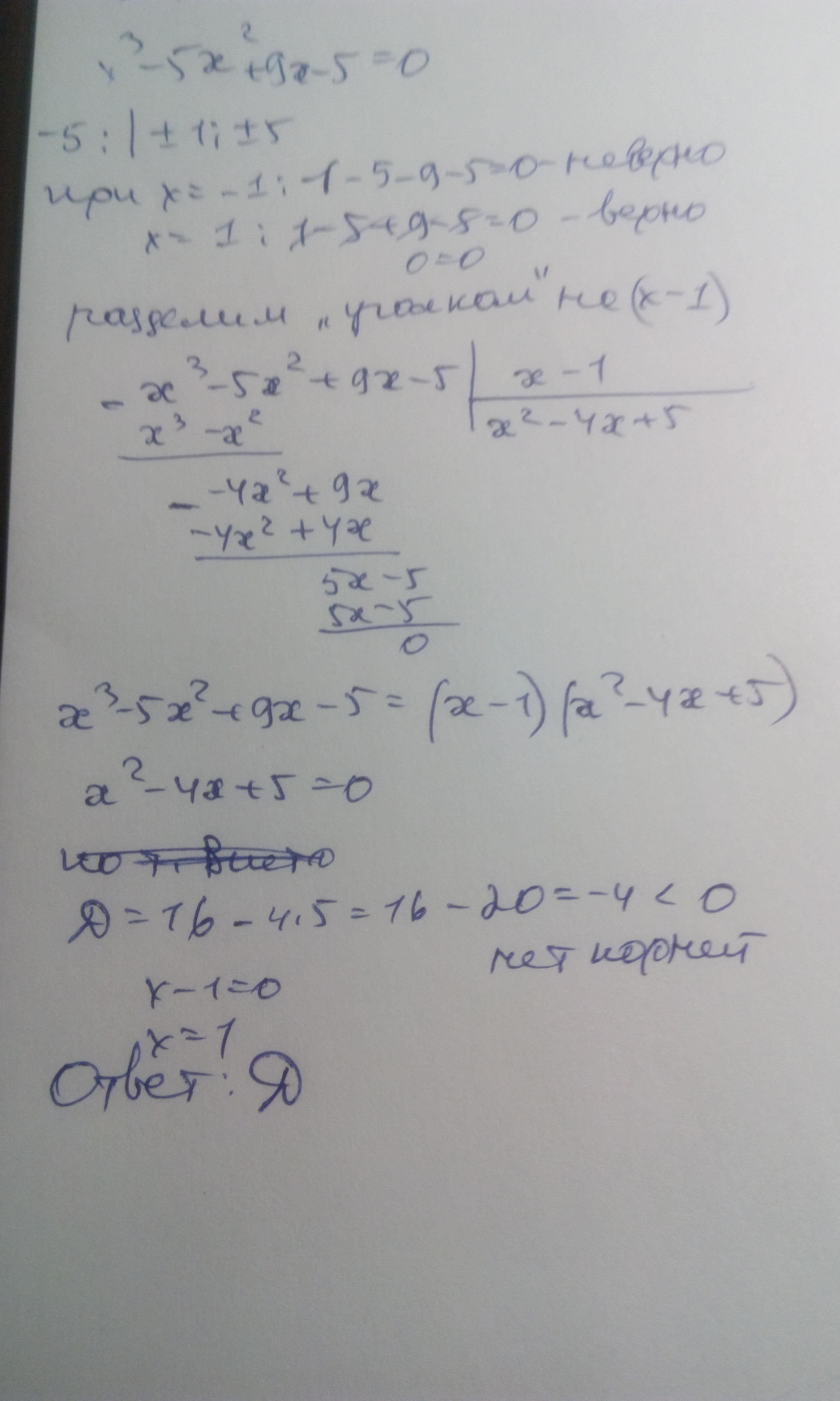
Всё подробно написала в решении.
Приложения:
Вас заинтересует