• Предмет: Алгебра
  • Автор: anlevina
  • Вопрос задан 9 лет назад

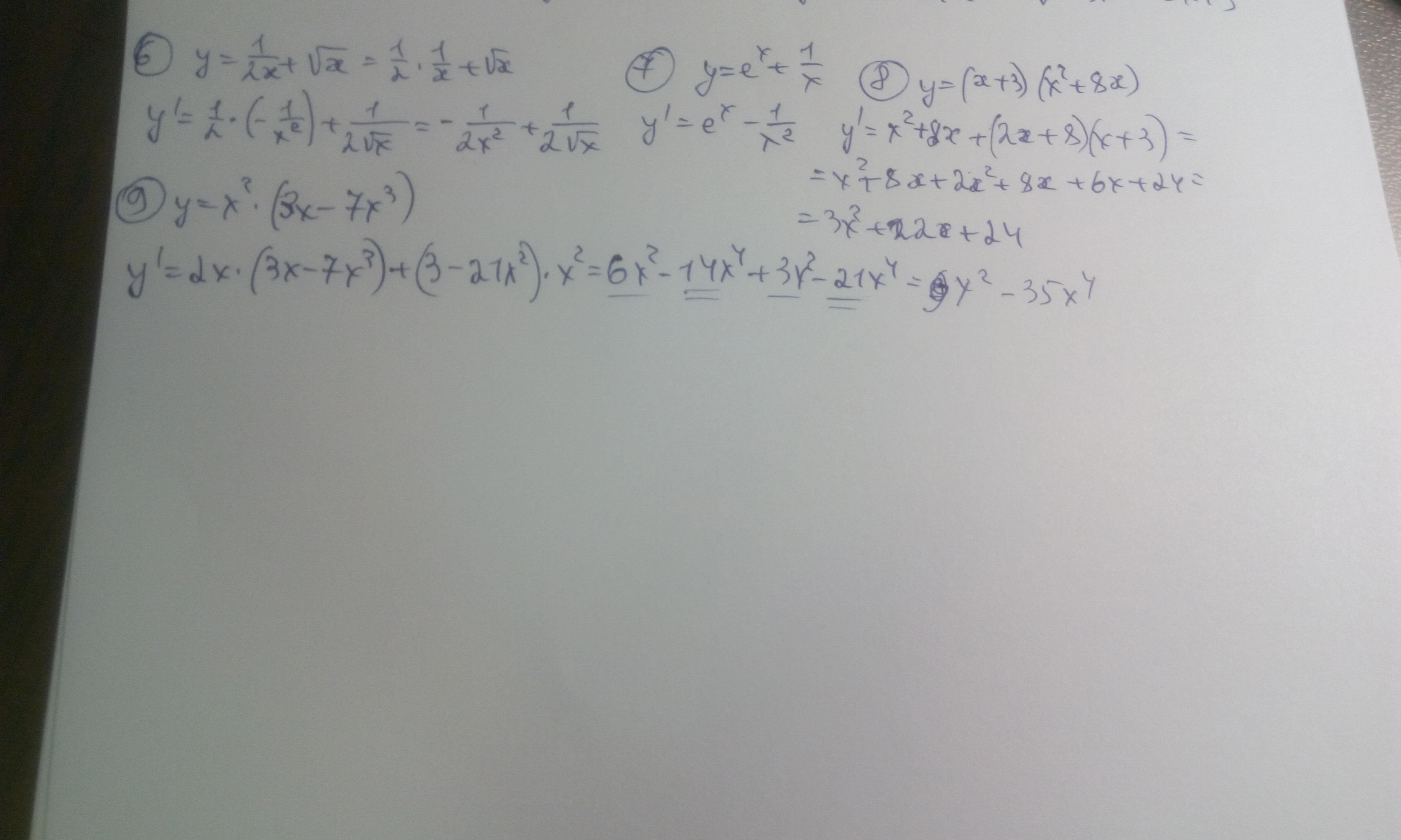
Найти производные функции ч.2

Приложения:

Ответы

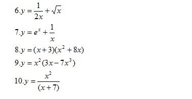
Ответ дал: irinan2014
0
Всё решаем по формулам.
Приложения:
Вас заинтересует