• Предмет: Алгебра
  • Автор: fsgsrrfgdgdgff
  • Вопрос задан 10 лет назад

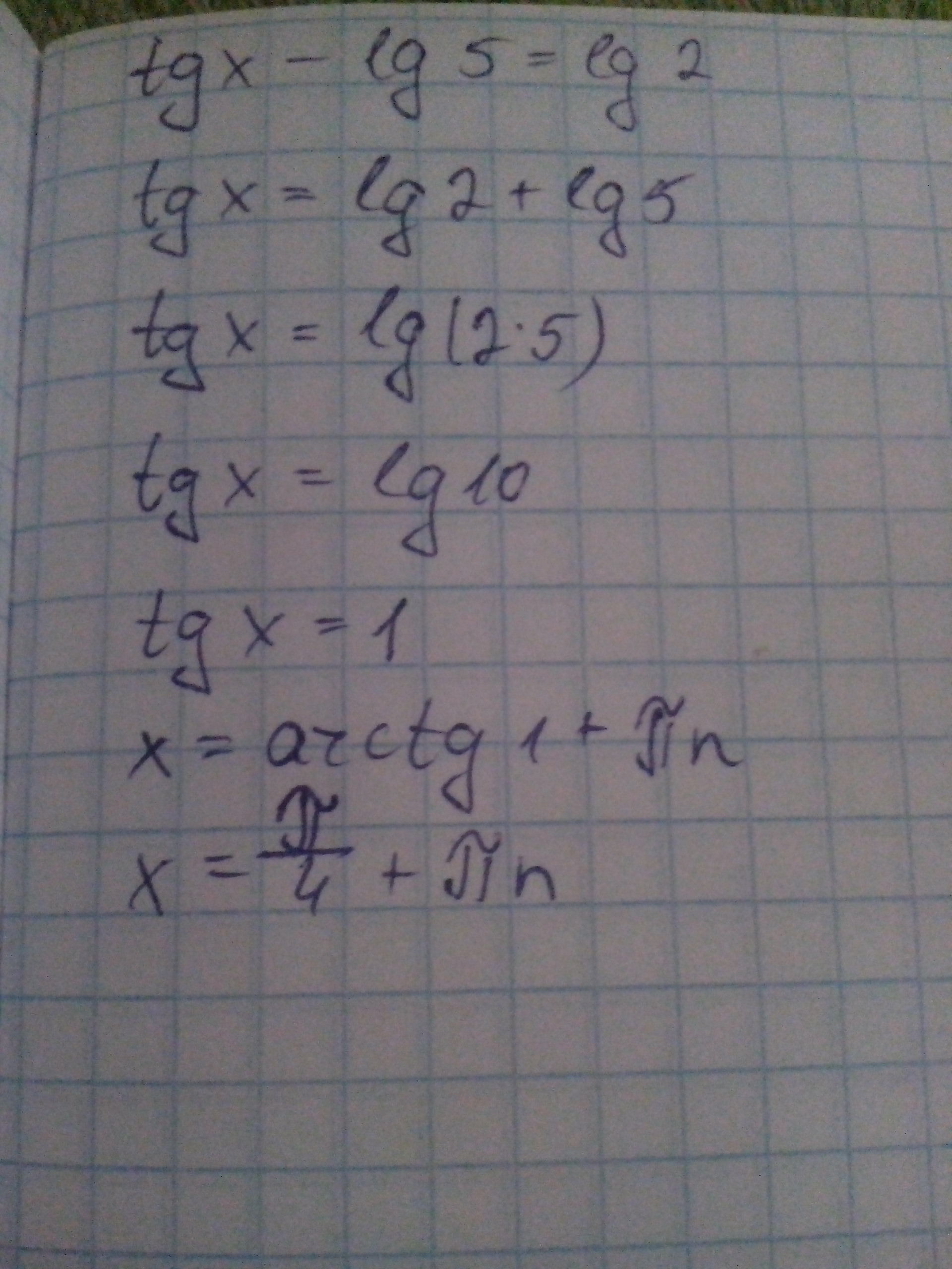
решите уравнение: tgx-lg5=lg2

Ответы

Ответ дал: kisonix
0
.........................
Приложения:
Ответ дал: mefody66
0
Tg x = lg 2 + lg 5 = lg (2*5); Tg x = lg 10 = 1; X = Π/4 + Π*k
Приложения:
Вас заинтересует