• Предмет: Математика
  • Автор: zaaudhhs
  • Вопрос задан 10 лет назад

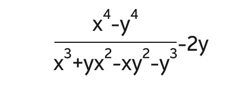
помогите с решением пожалуйста)срочно нужно

Приложения:

Ответы

Ответ дал: selmash21
0
(х^2+у^2)(х^2-у^2)/х^2(х+у)-у^2(х+у)) -2у=(х^2+у^2)(х^2-у^2)/(х+ у)(х^2-у^2) -2у=(х^2+у^2)/(х+у) -2у=
=(х^2+у^2-2у(х+у))/(х+у)=
=(х^2+у^2-2ху-2у^2)/(х+у)=
=(х^2-2ху-у^2)/(х+у)
Вас заинтересует