• Предмет: Математика
  • Автор: Аноним
  • Вопрос задан 10 лет назад

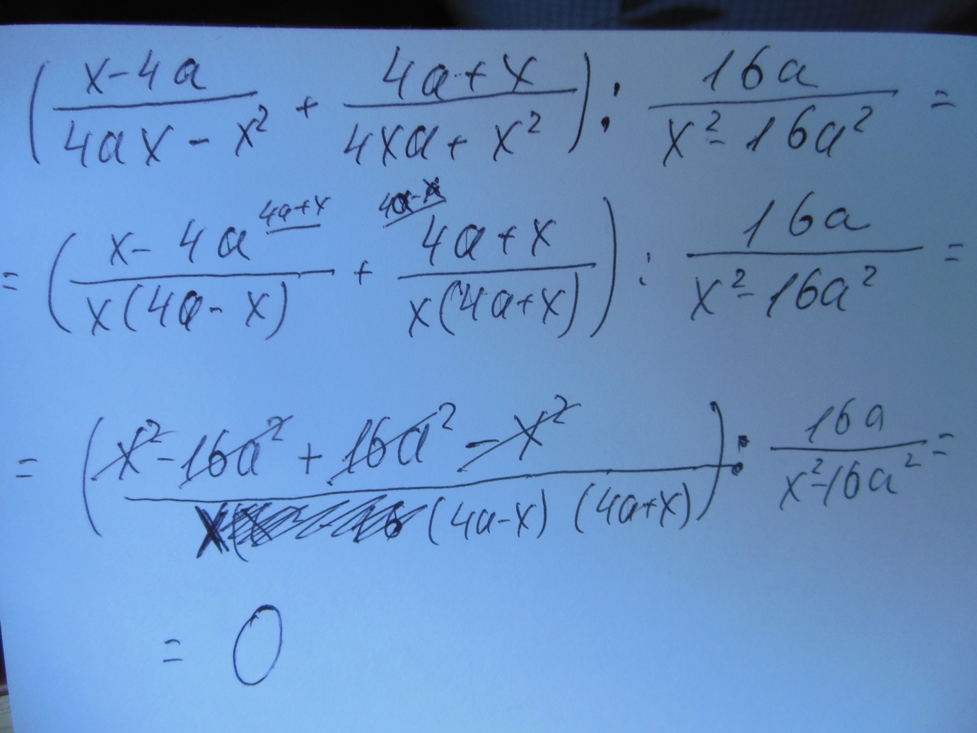
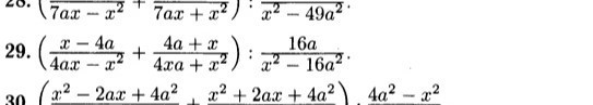
Помогите пожалуйста срочно надо с решением желательно фото заранее спасибо( номер 29)

Приложения:

Ответы

Ответ дал: miron2077
0
!!!!!!!!!!!!!!!!!!!!!!!!!!!!!
Приложения:
Вас заинтересует