• Предмет: Алгебра
  • Автор: Неизвестно3377
  • Вопрос задан 10 лет назад



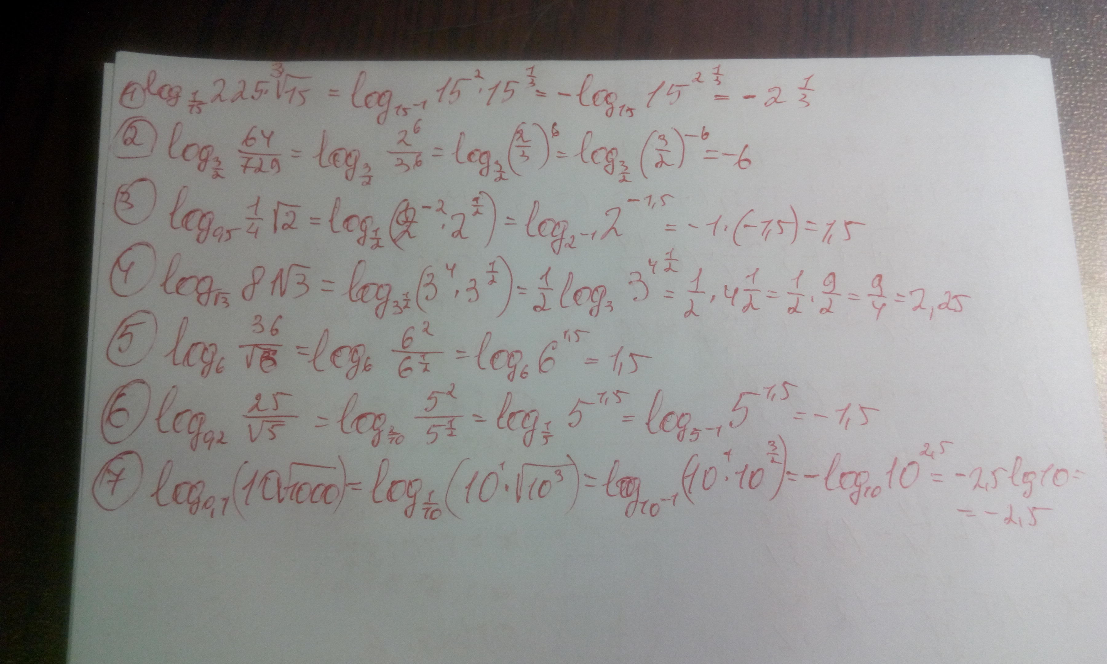
Решите логарифмы:
1)log(1/15) 225*корень кубический из 15
2)log(3/2) 64/729
3)log(0,5) 1/4корнейиз2
4)log (корень из 3) 81*корень из 3
5)log (6) 36/корень из 6
6)log (0,2) 25/ корень из 5
7)log(0,1) 10* корень из 1000

Все подробно.
(Все потом должно сводится к показательным уравнениям).

Ответы

Ответ дал: irinan2014
0
Всё подробно написала в решении.
Приложения:
Вас заинтересует