• Предмет: Алгебра
  • Автор: ЕдИнОрОжКа46
  • Вопрос задан 9 лет назад

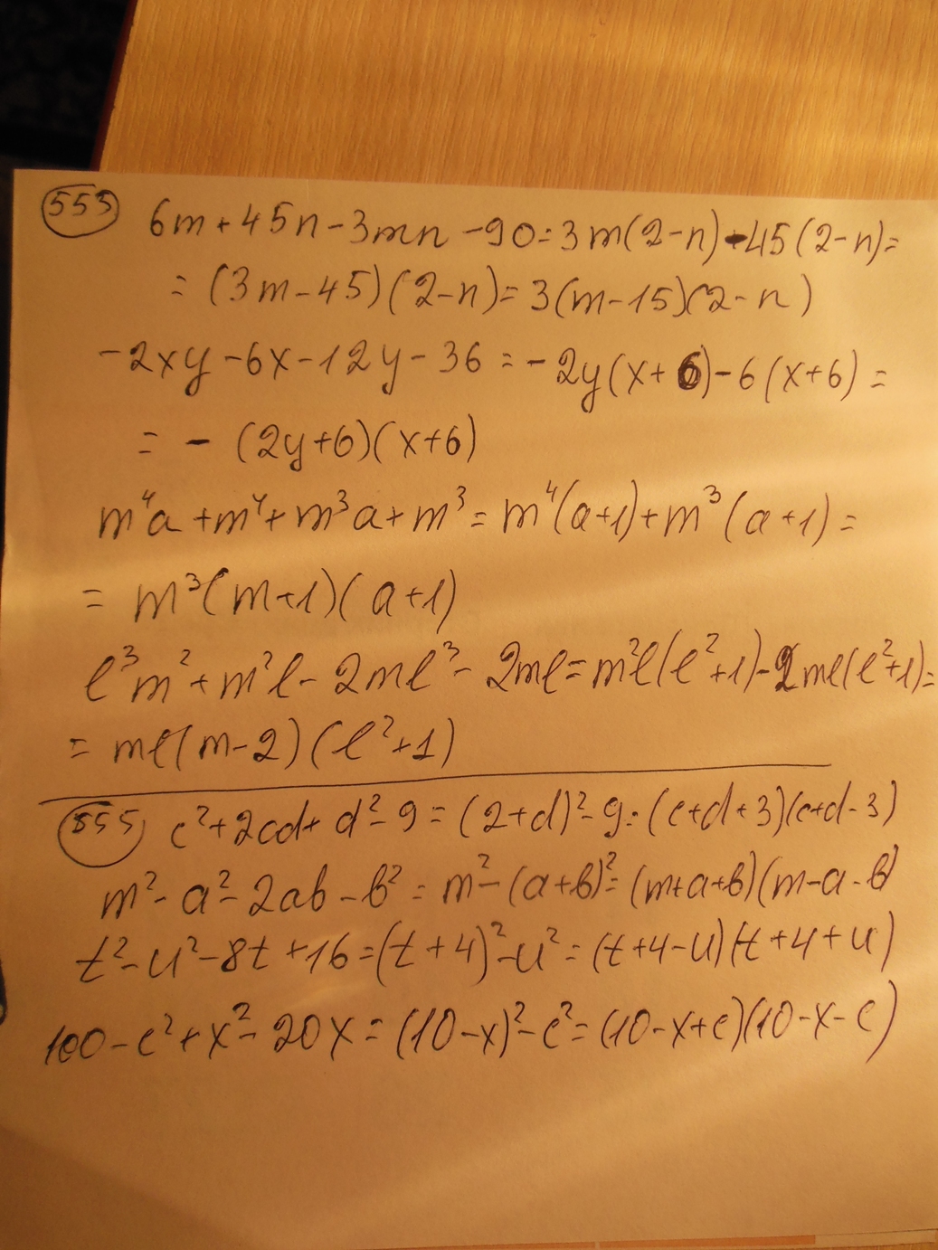
Помогите с 553 и 555,пожалуйста!

Приложения:

Ответы

Ответ дал: miron2077
0
!!!!!!!!!!!!!!!!!!!!!!!!!!!!!!!!!!
Приложения:
Ответ дал: ЕдИнОрОжКа46
0
Спасибо ещё раз!:)
Ответ дал: miron2077
0
ну почему не отвечаешь на вопросы в комментах, пришлось использовать переводчик
Ответ дал: ЕдИнОрОжКа46
0
Прости,как только зашла так и написала
Вас заинтересует