Решить системы линейных уравнений ЛЮБЫМИ способами, задание 4 (1 и 2), заранее спасибо (18 баллов)
Приложения:

Ответы
Ответ дал:
0
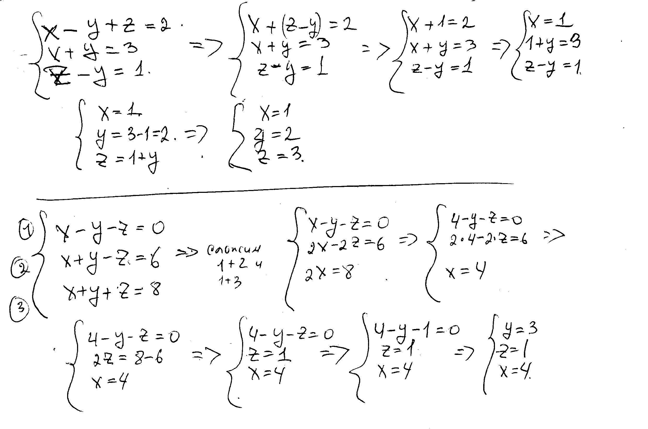
решение в скане.................
Приложения:

Вас заинтересует
2 года назад
2 года назад
7 лет назад
9 лет назад
9 лет назад
10 лет назад
10 лет назад