Ответы
Ответ дал:
0
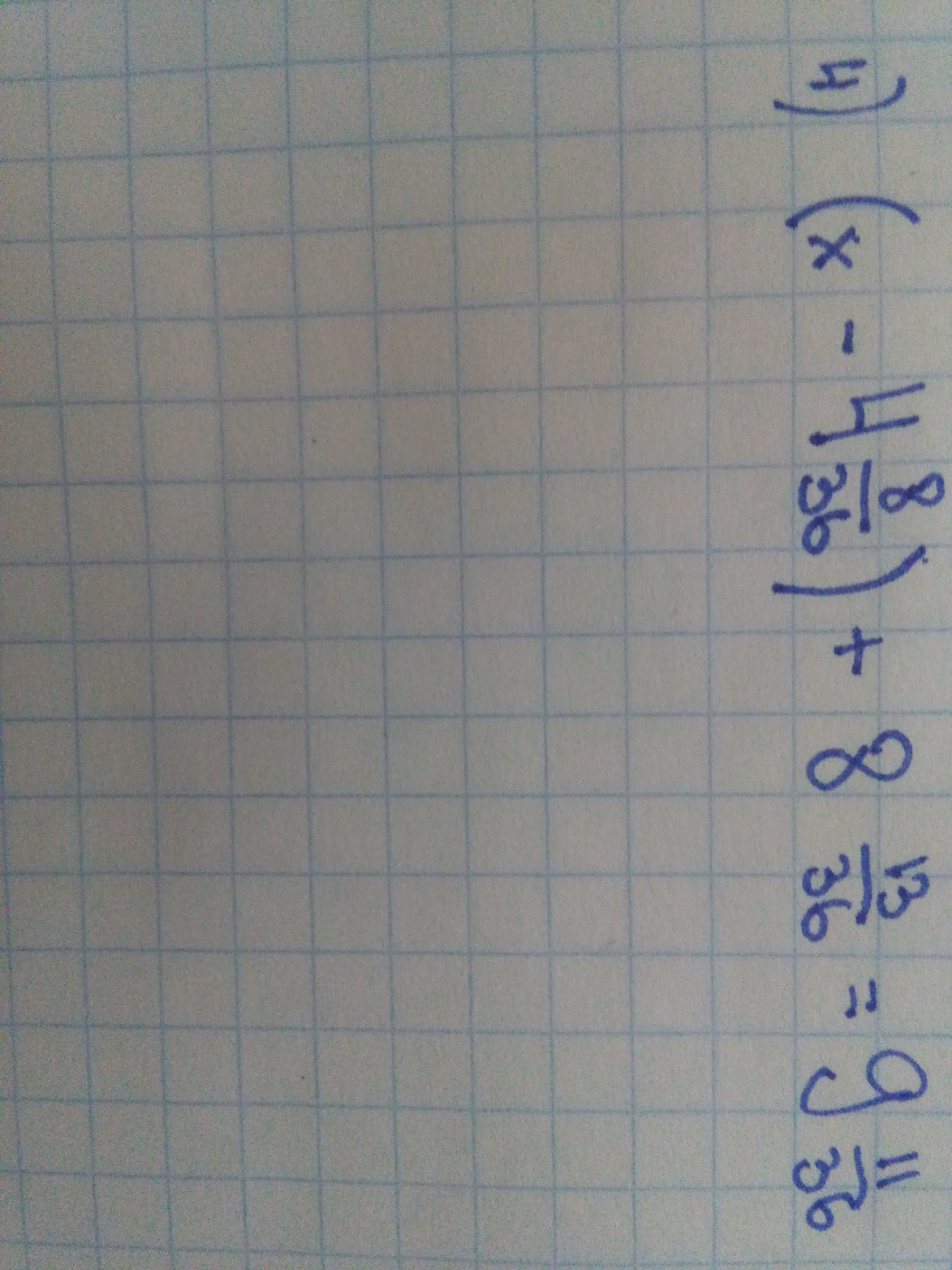
х-4 8/36=9 11/36-8 13/36;
х-4 8/36=34/36;
х=4 8/36+34/36
х=4 42/36=5 6/36=5 1/6,
Ответ: 5 целых и 1/6.
х-4 8/36=34/36;
х=4 8/36+34/36
х=4 42/36=5 6/36=5 1/6,
Ответ: 5 целых и 1/6.
Вас заинтересует
3 года назад
3 года назад
8 лет назад
10 лет назад
10 лет назад
10 лет назад