Ответы
Ответ дал:
0
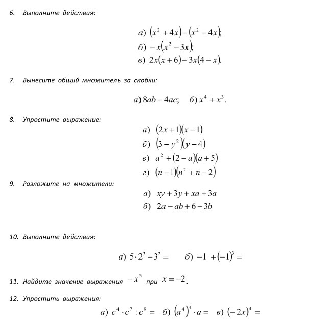
6. а) х^2+4х-х^2+4х=8х
б) -х^3+3х^2
в) 2х^2+12х-12х+3х^2=5х^2
7. a) 4а(2b-c)
б) х^3(х+1)
8. а) 2х^2+х-2х-1=2х^2-х-1
б) 3у-у^3-12+4у^2
в) а^2+2а-а^2+10-5а=-3а+10
г) n^3-n^2+n^2-n-2n+2=n^3-3n+2
11. -х^5=32
б) -х^3+3х^2
в) 2х^2+12х-12х+3х^2=5х^2
7. a) 4а(2b-c)
б) х^3(х+1)
8. а) 2х^2+х-2х-1=2х^2-х-1
б) 3у-у^3-12+4у^2
в) а^2+2а-а^2+10-5а=-3а+10
г) n^3-n^2+n^2-n-2n+2=n^3-3n+2
11. -х^5=32
Вас заинтересует
3 года назад
3 года назад
8 лет назад
8 лет назад
10 лет назад
10 лет назад
10 лет назад