• Предмет: Алгебра
  • Автор: raevskaya68
  • Вопрос задан 10 лет назад

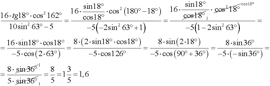
найдите значение выражения 16tg18cos2 16210sin2 63-5

Ответы

Ответ дал: mishka19
0
Решение в приложенном файле-картинке
Приложения:
Вас заинтересует