Ответы
Ответ дал:
0
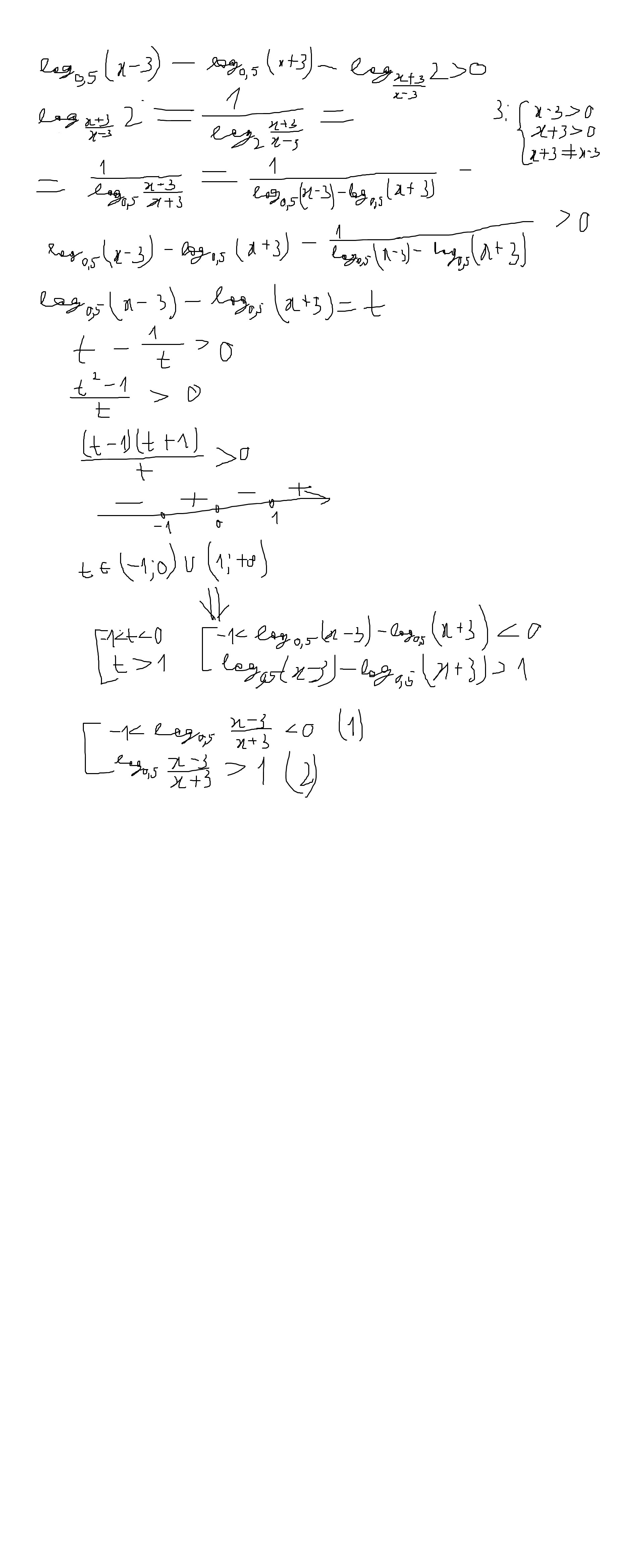
скинул не всё, лишь основную идею показал. Свёл всё дело к решению простейших логарифмических неравенств. Дальше продолжать не стал ввиду громоздкости полученных неравенств. К тому же, наверняка Вы и сами умеете такие простейшие неравенства решать. Решив оба неравенства, объединив ответы, учтя ОДЗ, получаем искомый результат.
Приложения:

Вас заинтересует
2 года назад
7 лет назад
10 лет назад