Основания равнобедренной трапеции относятся как 1:2, разность 
оснований равна 2 см, радиус описанной окружности равен высоте 
трапеции.
Найти площадь описанного круга.
                        
                            
                            
                    Ответы
                                            Ответ дал: 
                                                                                    
                                        
                                            
                                                
                                                
                                                
                                                    0
                                                
                                            
                                        
                                    
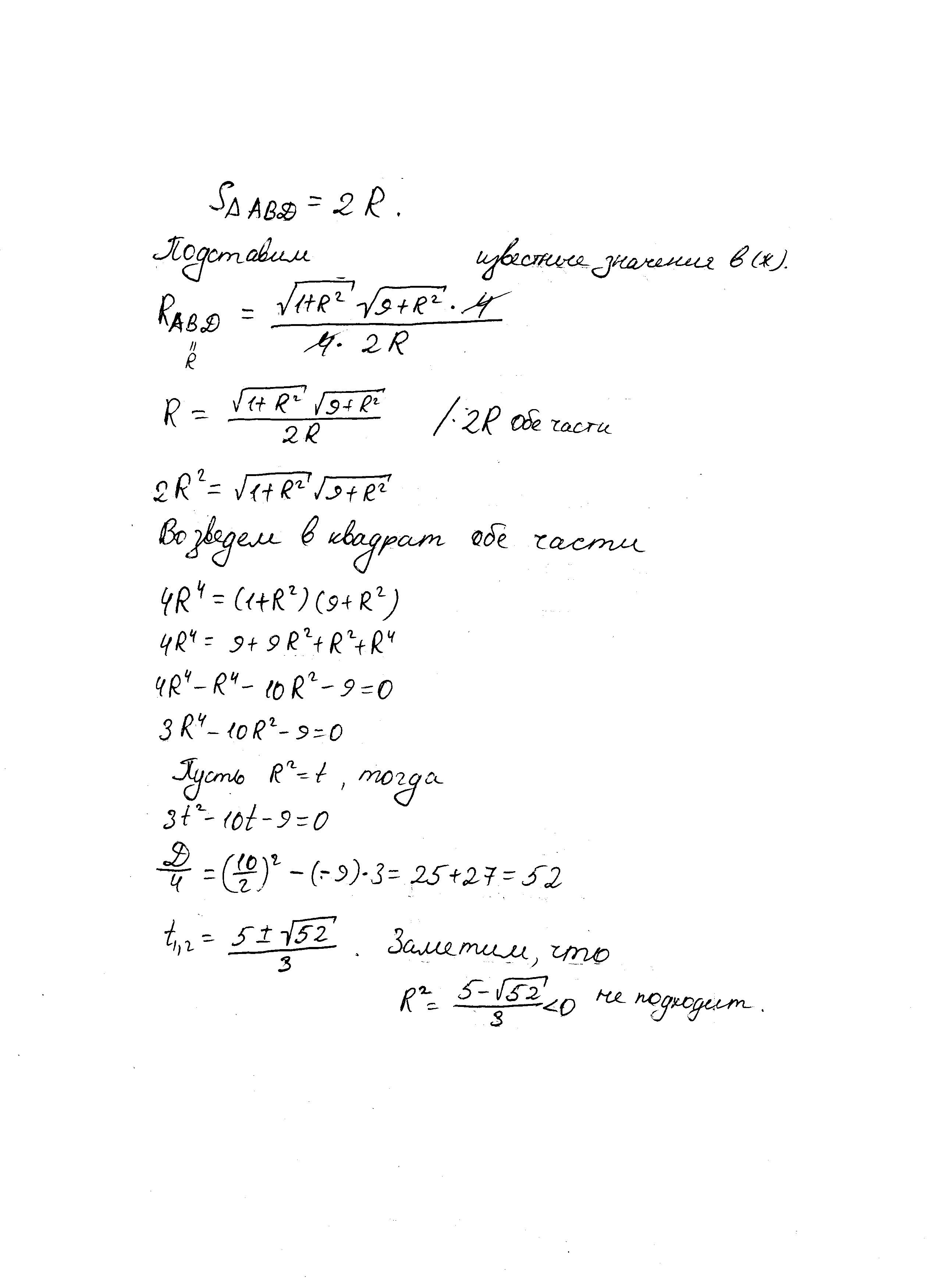
                                        Решение в приложении. Вроде должно быть понятно. Надеюсь верно)
                                    
                                                Приложения:
                     
                             
                             
                             
                             
                            Вас заинтересует
                
                        2 года назад
                    
                
                        7 лет назад
                    
                
                        7 лет назад
                    
                
                        9 лет назад
                    
                
                        9 лет назад
                    
                
                        10 лет назад