Ответы
Ответ дал:
0
(x+1/8)-2 5/6=1,3
x+15/120-2 100/120=1 36/120
x=1 36/120+2 85/120
x=3 121/120=4 1/120
x+15/120-2 100/120=1 36/120
x=1 36/120+2 85/120
x=3 121/120=4 1/120
Ответ дал:
0
ДАНО
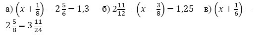
а)
(х + 1/8) - 2 5/6 = 1,3
(х + 1/8 = 1 3/10 + 2 5/6 = 13/10 + 17/6 = (39 + 85)/30 =124/30 = 4,2/15
х = 4 2/15 - 1/8 = 4 1/120
б)
2 11/12 - (х - 3/8) = 1,25
(х - 3/8) = 2 11/12 - 1,25 = 1 2/3
х = 1 2/3 + 3/8 = 2 1/24
в)
(х + 1/6) - 2 5/8 = 3 11/24
х + 1/6 = 3 11/24 + 2 5/8 = 6 1/12
х = 6 1/12 - 1/6 = 5 11/12
а)
(х + 1/8) - 2 5/6 = 1,3
(х + 1/8 = 1 3/10 + 2 5/6 = 13/10 + 17/6 = (39 + 85)/30 =124/30 = 4,2/15
х = 4 2/15 - 1/8 = 4 1/120
б)
2 11/12 - (х - 3/8) = 1,25
(х - 3/8) = 2 11/12 - 1,25 = 1 2/3
х = 1 2/3 + 3/8 = 2 1/24
в)
(х + 1/6) - 2 5/8 = 3 11/24
х + 1/6 = 3 11/24 + 2 5/8 = 6 1/12
х = 6 1/12 - 1/6 = 5 11/12
Ответ дал:
0
В "Б"
Ответ дал:
0
Еще раз проверил - нормально.
Вас заинтересует
3 года назад
8 лет назад
8 лет назад
10 лет назад
10 лет назад
10 лет назад