1)2)3)4)
Выполнить Определённый интеграл с помощью основных свойств и формул Ньютона-Лейбница
Если не трудно то можно фото решения,очень нужно прошу
Всем заранее спасибо;)
Приложения:

Ответы
Ответ дал:
0
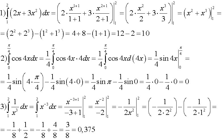
Решение на прикрепленной картинке:
Приложения:

Вас заинтересует
7 лет назад
7 лет назад
9 лет назад
10 лет назад