• Предмет: Алгебра
  • Автор: Yaguarsckaya
  • Вопрос задан 10 лет назад

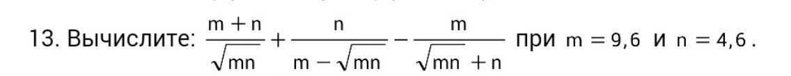
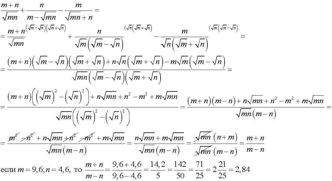
Вычислите,пожалуйста

Приложения:

Ответы

Ответ дал: mishka19
0
Решение на прикрепленной картинке:
Приложения:
Ответ дал: Yaguarsckaya
0
Спасибо огромное
Ответ дал: m11m
0
 frac{m+n}{ sqrt{mn} }+ frac{n}{m- sqrt{mn} }- frac{m}{ sqrt{mn} +n}= \  \ 
= frac{m+n}{ sqrt{m} sqrt{n}  }+ frac{n}{ sqrt{m}( sqrt{m}- sqrt{n}  ) }- frac{m}{ sqrt{n}( sqrt{m}+ sqrt{n}  ) }=

Общий знаменатель:
 sqrt{m} sqrt{n}( sqrt{m} - sqrt{n} )( sqrt{m}+ sqrt{n}  )= \ 
= sqrt{m} sqrt{n}(( sqrt{m} )^2-( sqrt{n} )^2) = sqrt{m} sqrt{n}(m-n)

= frac{(m+n)(m-n)+n sqrt{n}( sqrt{m}+ sqrt{n}  )-m sqrt{m}( sqrt{m}- sqrt{n}  )  }{ sqrt{m} sqrt{n}(m-n)  }= \  \ 
= frac{m^2-n^2+n sqrt{m} sqrt{n}+n( sqrt{n} )^2-m( sqrt{m} )^2+m sqrt{m} sqrt{n}    }{ sqrt{m} sqrt{n}(m-n)  }= \  \ 
= frac{m^2-n^2+n sqrt{m} sqrt{n}+n^2-m^2+m sqrt{m} sqrt{n}    }{ sqrt{m} sqrt{n}(m-n)  }= \  \ 
= frac{ sqrt{m} sqrt{n}(m+n)  }{ sqrt{m} sqrt{n}(m-n)  }= frac{m+n}{m-n}= \  \ 
= frac{9.6+4.6}{9.6-4.6}= frac{14.2}{5}=2.84
Приложения:
Вас заинтересует