• Предмет: Математика
  • Автор: Paragonishe
  • Вопрос задан 9 лет назад

Помогите пожалуйста решить

Приложения:

Ответы

Ответ дал: larinlu
0
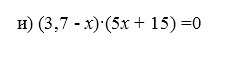
3,7-х=0 или 5х+15=0
-х=-3,7        5х=15
х=3,7          х=15/5
                    х=3

Ответ дал: mishka19
0
(3,7-x)(5x+15)=0 \ 
3,7-x=0 или 5x+15=0
-x=-3,7 или 5x=-15
x=3,7 или x=-3
Ответ: -3; 3,7
Вас заинтересует