Ответы
Ответ дал:
0
1
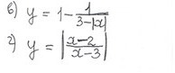
y=1-1/(3-|x|)=1+1/(|x|-3)
1)Cтроим у=1/х
х -4 -2 -1 -1/2 1/2 1 2 4
у -1/4 -1/2 -1 -2 2 1 1/2 1/4
2)Сдвигаем ось оу на 3 единицы влево
3)Сдвигаем ось ох на 1 единицу вниз
4)Оставляем все что справа от оси оу и отображаем слева
2
y=|(x-2)/(x-3)|=|1+1/(x-3)|
1,2,3 пункты смотрим в 1 номере
4)Оставляем все что выше оси ох,а то что ниже отображаем наверх
y=1-1/(3-|x|)=1+1/(|x|-3)
1)Cтроим у=1/х
х -4 -2 -1 -1/2 1/2 1 2 4
у -1/4 -1/2 -1 -2 2 1 1/2 1/4
2)Сдвигаем ось оу на 3 единицы влево
3)Сдвигаем ось ох на 1 единицу вниз
4)Оставляем все что справа от оси оу и отображаем слева
2
y=|(x-2)/(x-3)|=|1+1/(x-3)|
1,2,3 пункты смотрим в 1 номере
4)Оставляем все что выше оси ох,а то что ниже отображаем наверх
Приложения:
Вас заинтересует
2 года назад
2 года назад
8 лет назад
8 лет назад
10 лет назад
10 лет назад