помогите решить 5,6 и 7 примеры с дробями!!))помогите,пожалуйста!!)))очень нужно решить!!!))))хелп!)))
Приложения:

Ответы
Ответ дал:
0
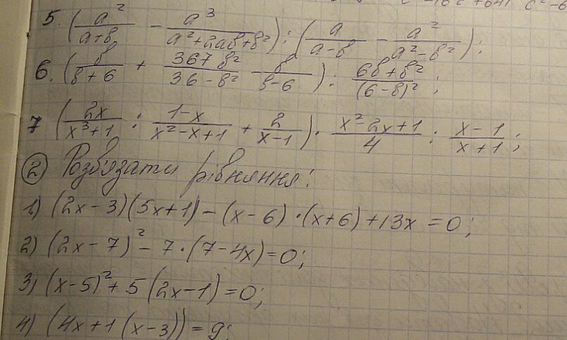
5
1)a²/(a+b)-a³/(a+b)²=(a³+a²b-a³)/(a+b)²=a²b/(a+b)²
2)a/(a-b)-a²/[(a-b)(a+b)]=(a²+ab-a²)/[(a-b)(a+b)]=ab/[(a-b)(a+b)]
3)a²b/(a+b)²*[(a-b)(a+b)]/ab=a(a-b)/(a+b)
6
1)b/(b+6)+367b²/[(6-b)(6+b)+b/(6-b)=(6b-b²+6b+b²)/[(6-b)(6+b)]=
=(367b²+12b/[(6-b)(6+b)]
2)b(367b+12)/[(6-b)(6+b)]*(6-b)²/[b(6+b)]=(367b+12)/(6+b)²
7
1)2x/[(x+1)(x²-x+1)]*(x²-x+1)/(1-x)=2x/(1-x²)
2)2x/[(1-x)(1+x)-2/(1-x)=(2x-2-2x)/(1-x²)=-2/(1-x²)=2/(x²-1)
3)2/[(x-1)(x+1)]*(x-1)²/4*(x+1)/(x-1)=1/2
1)a²/(a+b)-a³/(a+b)²=(a³+a²b-a³)/(a+b)²=a²b/(a+b)²
2)a/(a-b)-a²/[(a-b)(a+b)]=(a²+ab-a²)/[(a-b)(a+b)]=ab/[(a-b)(a+b)]
3)a²b/(a+b)²*[(a-b)(a+b)]/ab=a(a-b)/(a+b)
6
1)b/(b+6)+367b²/[(6-b)(6+b)+b/(6-b)=(6b-b²+6b+b²)/[(6-b)(6+b)]=
=(367b²+12b/[(6-b)(6+b)]
2)b(367b+12)/[(6-b)(6+b)]*(6-b)²/[b(6+b)]=(367b+12)/(6+b)²
7
1)2x/[(x+1)(x²-x+1)]*(x²-x+1)/(1-x)=2x/(1-x²)
2)2x/[(1-x)(1+x)-2/(1-x)=(2x-2-2x)/(1-x²)=-2/(1-x²)=2/(x²-1)
3)2/[(x-1)(x+1)]*(x-1)²/4*(x+1)/(x-1)=1/2
Ответ дал:
0
меня интересует 6 пример 1 действие.как появилась дробь 367б^2/[(6-б)(6+б)]?
Ответ дал:
0
может,вы хотели написатб 36+б^2
Ответ дал:
0
????
Ответ дал:
0
ой,я поняла)неправильно списала
Вас заинтересует
2 года назад
2 года назад
7 лет назад