Ответы
Ответ дал:
0
Решение в приложенном файле:
Приложения:

Ответ дал:
0
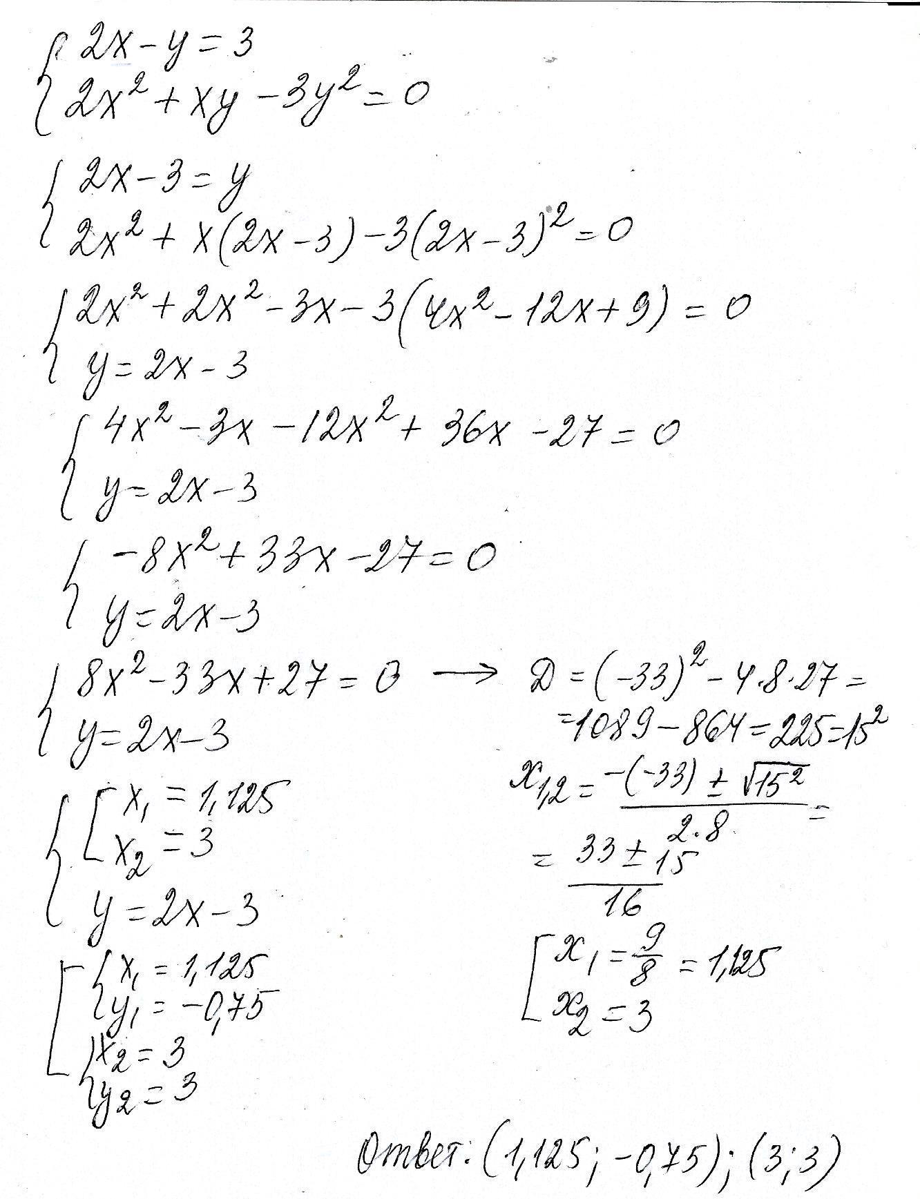
2х-у=3 ⇒у=2х-3
2х²+ху-3у²=0 произведем замену
2х²+х*(2х-3)-3*(2х-3)²=0
2х²+2х²-3х-3(4х²-12х+9)=0
4х²-3х-12х²+36х-27=0
8х²-33х+27=0
D=1089-864=225
х₁=(33+15)/16=3 ⇒у₁=2*3-3=3
х₂=(33-15)/16=1.125 ⇒ у₂=2*1.125-3=-0,75
Ответ :(3;3),(1,125 ;-0,75)
2х²+ху-3у²=0 произведем замену
2х²+х*(2х-3)-3*(2х-3)²=0
2х²+2х²-3х-3(4х²-12х+9)=0
4х²-3х-12х²+36х-27=0
8х²-33х+27=0
D=1089-864=225
х₁=(33+15)/16=3 ⇒у₁=2*3-3=3
х₂=(33-15)/16=1.125 ⇒ у₂=2*1.125-3=-0,75
Ответ :(3;3),(1,125 ;-0,75)
Приложения:

Вас заинтересует
2 года назад
2 года назад
7 лет назад
10 лет назад