• Предмет: Математика
  • Автор: SleeppyAsh400
  • Вопрос задан 9 лет назад

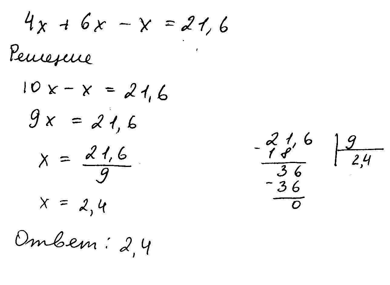
4x+6x-x=21.6  Помогите!Пожалуйста) очень надо

Ответы

Ответ дал: MizoriesKun
0
4х+6х-х=21.6
9х=21.6
х=21.6:9
х=2.4
Ответ дал: maonang
0
Решение на картинке
_____________________________
Приложения:
Вас заинтересует