• Предмет: Алгебра
  • Автор: Julia0fox
  • Вопрос задан 10 лет назад

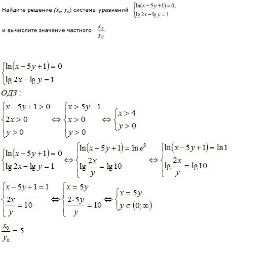
помогите, пожалуйста,задание см на картинке

Приложения:

Ответы

Ответ дал: kirichekov
0
решение во вложении------------------------
Приложения:
Ответ дал: NNNLLL54
0
х/у=5
Ответ дал: kirichekov
0
заметили ошибку? прекрасно!!! но нарушение зачем сразу ставить? можно было написать комментарий?
Ответ дал: Julia0fox
0
Да, да, доверяй, но проверяй
Ответ дал: kirichekov
0
да, да в следующий раз подумаю, решать ли вам задания
Ответ дал: Julia0fox
0
Эххх, все ошибаются
Вас заинтересует