• Предмет: Алгебра
  • Автор: Julia0fox
  • Вопрос задан 10 лет назад

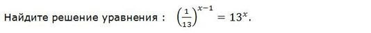
помогите, пожалуйста,задание см на картинке

Приложения:

Ответы

Ответ дал: mikael2
0
(1/13)ˣ⁻¹=13¹⁻ˣ
13¹⁻ˣ=13ˣ        →  1-х=х    2х=1     х=0,5
Вас заинтересует