• Предмет: Алгебра
  • Автор: Yaguarsckaya
  • Вопрос задан 9 лет назад

Помогите с 46,пожалуйста

Приложения:

Ответы

Ответ дал: mishka19
0
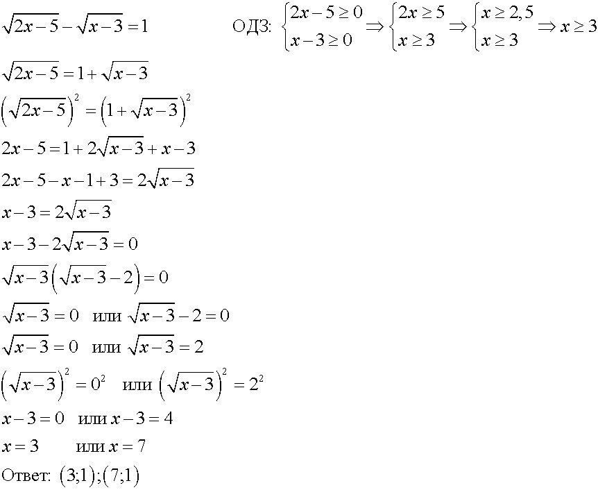
Решение в приложенном файле:
Приложения:
Вас заинтересует