• Предмет: Математика
  • Автор: RebelsFromLiving
  • Вопрос задан 10 лет назад

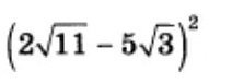
Необходимо преобразовать выражение

Приложения:

Ответы

Ответ дал: 93931
0
(2√11 - 5√3)² = (√4*11 - √25*3)² = (√44 - √75)² = 44 - 2 * 2√11 * 5√3 + 75 = 119 - 20√33.
Ответ дал: RebelsFromLiving
0
На этом все?
Ответ дал: 93931
0
да, может написать подробней?
Ответ дал: RebelsFromLiving
0
нет, не надо, после лета безделья требуется восстановить мозги... спасибо
Ответ дал: bumbucha
0
4×11-20√33+25×3=119-20√ 33
Вас заинтересует