• Предмет: Алгебра
  • Автор: Katruna24
  • Вопрос задан 9 лет назад

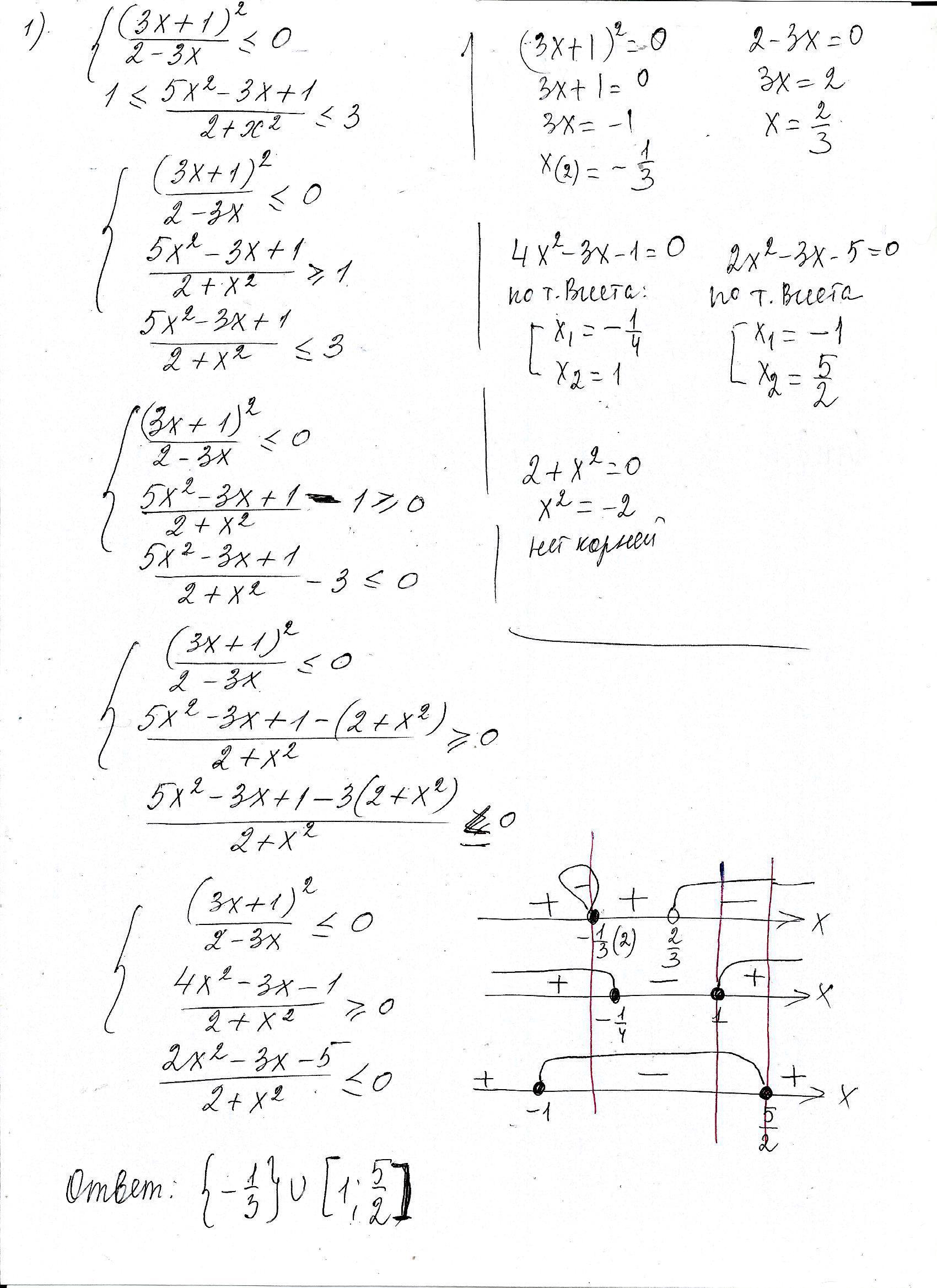
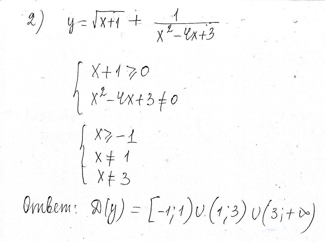
Помогите пожалуйста решить

Приложения:

Ответы

Ответ дал: mishka19
0
Решение на картинке:
Приложения:
Вас заинтересует