• Предмет: Алгебра
  • Автор: Рокки1200
  • Вопрос задан 10 лет назад

Номер 5. Помогите решить, пожалуйста

Приложения:

Ответы

Ответ дал: mishka19
0
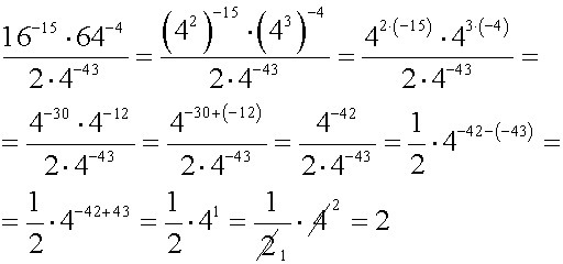
Решение в приложенном файле:
Приложения:
Ответ дал: Рокки1200
0
Спасибо большое)))
Вас заинтересует