• Предмет: Математика
  • Автор: KsKitty
  • Вопрос задан 10 лет назад

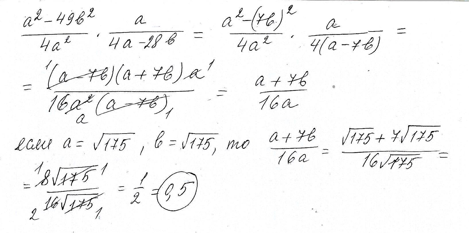
Найдите значение выражения a^2 - 49b^2 / 4a^2*a/4a - 28b при a = √175, b=√175

Ответы

Ответ дал: sedinalana
0
(a-7b)(a+7b)/4a²*a/([4(a-7b)]=(a+7b)/16a
a=√175,b=√175
(√175+7√175)/16√175=8√175/16√175=1/2
Ответ дал: mishka19
0
Решение в приложенном файле:
Приложения:
Вас заинтересует