• Предмет: Алгебра
  • Автор: Alim23
  • Вопрос задан 9 лет назад

Дерзайте, 8 баллов, желательно на листочке и подробно)

Приложения:

Ответы

Ответ дал: mishka19
0
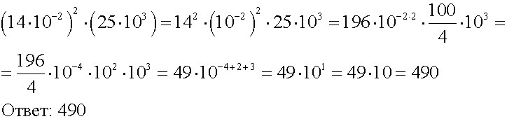
Решение приложено в файле:
Приложения:
Вас заинтересует