• Предмет: Математика
  • Автор: КсюшаЗвенкина
  • Вопрос задан 10 лет назад

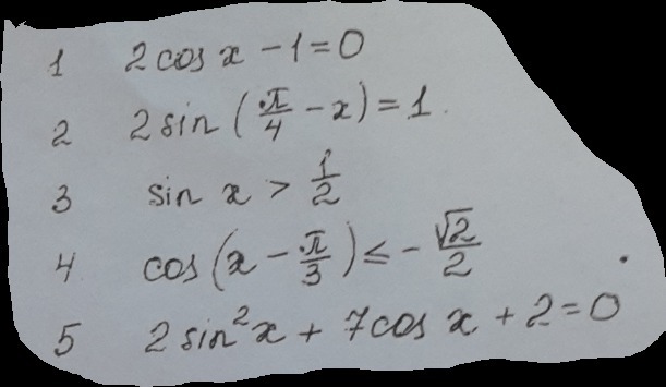
Решите, пж. Спасибо огромное))

Приложения:

Ответы

Ответ дал: ШереметИрина
0
  )))))))))))))))))))))))))))))))))))))))))))))))))))))))))))))))))))))))))))))))))))))))))))))))))))
Приложения:
Ответ дал: ШереметИрина
0
то что в рамке это ответ
Вас заинтересует