• Предмет: Математика
  • Автор: Аноним
  • Вопрос задан 9 лет назад

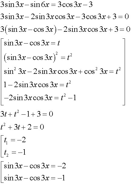
3sin3x-sin6x=3cos3x-3

Ответы

Ответ дал: mishka19
0
Решения приложены в файле:
Приложения:
Ответ дал: Аноним
0
Spasibo bolshoe
Вас заинтересует