• Предмет: Математика
  • Автор: Аноним
  • Вопрос задан 10 лет назад

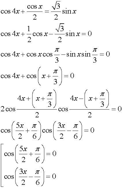
cos4x+cosx/2=Корень из 3/2sinx

Ответы

Ответ дал: mishka19
0
Решение в приложении:
Приложения:
Ответ дал: Аноним
0
Спасибо))
Вас заинтересует