• Предмет: Математика
  • Автор: poncha5
  • Вопрос задан 10 лет назад

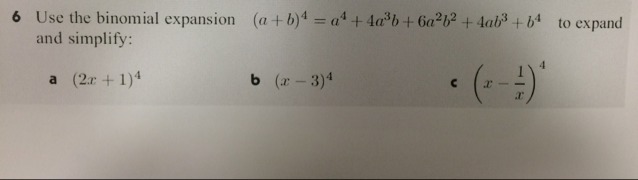
Пожалуйста решите очень надо, спасибо

Приложения:

Ответы

Ответ дал: RAMAZAN111202
0
Чтобы решить надо приложить усилие
Ответ дал: poncha5
0
50₽ на телефон, тому кто решит;)
Вас заинтересует