• Предмет: Математика
  • Автор: КсюшаЗвенкина
  • Вопрос задан 9 лет назад

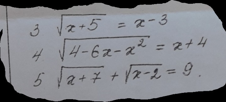
Решите 3 уравнения......

Приложения:

Ответы

Ответ дал: lizastukalova
0

1)х+5=(х-3)²
х+5=х²-6х+9
х+5-х²+6х-9=0
а дальше просто по дискриминанту 
во всех уравнениях нужно возводить левую и правую часть в квадрат,там где корень он просто исчезает,а там где нет корня формула!
Вас заинтересует